storia dell'atomo

  • teoria atomista
    450 BCE

    teoria atomista

    questa teoria è stata introdotta da Democrito. egli affermava che tutto ciò che ci circonda è fatto da atomi che sono particelle elementari, indivisibili e che sono differenti tra loro per la forma , la grandezza e e la posizione
  • Boyle

    Boyle

    per lui la materia è formata da particelle e le sostanze sono costituite da atomi diversi.
  • Dalton

    Dalton

    gli atomi di uno stesso elemento sono uguali, nelle reazioni chimiche gli atomi si combinano tra di loro ma rimangono inalterati.
  • Mendeleev

    Mendeleev

    creò la tavola periodica degli elementi( che conoscevano fino ad allora) in base al loro peso atomico
  • Goldstein

    Goldstein

    scoprì i protoni, ovvero le cariche positive che si trovano all'interno del nucleo di un atomo
  • Planck

    Planck

    egli affermò che gli atomi assorbono ed emettono delle radiazioni in maniera discontinua. per lui l'energia può essere rappresentata, in modo concettuale, come la materia.
  • Atomo di Thomson

    Atomo di Thomson

    l'atomo è costituito da una distribuzione di carica positiva diffusa all'interno della quale sono inserite le cariche negative
  • Einstein

    Einstein

    scoperta dei fotoni: particelle che trasportano l'energia della luce
  • Rutherford

    Rutherford

    scopre la struttura interna dell'atomo. scopre che al centro si trova una centrale positiva(protoni) e attorno una "nube" negativa (elettroni)
  • Bohr

    Bohr

    affermò che un fotone che viene assorbito da un atomo cede tutta la sua energia a uno degli elettroni che passa così a uno stato energetico più elevato
  • De Broglie

    De Broglie

    egli affermò che gli elettroni avevano un moto ondulatorio
  • Erwin Schrödinger

    Erwin Schrödinger

    Il quadrato della funzione d’onda ψ2 fornisce la probabilità che un elettrone si trovi, durante l’intervallo di tempo Δt, in un volume ΔV il cui centro ha coordinate x, y, z.
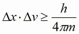
  • principio di indeterminazione di Heisenberg

    principio di indeterminazione di Heisenberg

    La precisione con cui si può misurare la posizione di una particella in un dato istante è inversamente proporzionale alla precisione con cui si può misurare contemporaneamente la sua quantità di moto.

Plan projects on a visual timeline

Map milestones, phases, deadlines, and key events in one place so the sequence is easier to see and share. Timetoast is a timeline maker for work, school, research, and stories.