Scienze

  • La teoria atomica
    450 BCE

    La teoria atomica

    Democrito, filosofo greco, affermò che la materia è formata da particelle piccolisime.
  • Charles Du Fay

    Secondo Charles Du Fay esistono due tipi di elettricità: quella resinosa e quella vetrosa.
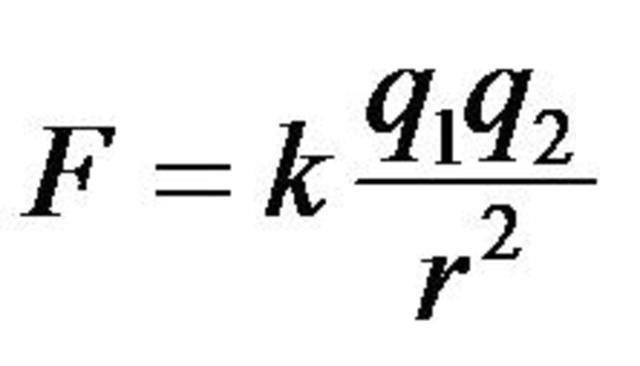
  • La legge di Coulomb

    La legge di Coulomb

    La legge di Coulomb descrive la forza di Coulomb, ovvero la misura della forza elettrica tra due cariche.
  • Legge della conservazione della massa

    Legge della conservazione della massa

    Lavoisier formulò questa lege: " In una reazione chimica, la massa dei reagenti è uguale alla massa dei prodotti."
  • La legge delle proporzioni definite

    La legge delle proporzioni definite

    Dopo mnumerosi esperimenti, il chimico francese Joseph Proust, ricavò questa legge: "In un composto, gli elementi che lo costituiscono sono presenti secondo rapporti in massa costanti e definiti.
  • La teoria atomica di Dalton

    La teoria atomica di Dalton

    Dalton analizzò i lavori di Proust e Lavoisier e incrociò i dati ricavandone la propria teoria
  • Legge dei volumi di combinazione

    Legge dei volumi di combinazione

    La legge dei volumi di combinazione formulata da Gay-Lussac afferma che quando due sostanze gassose si combinano tra loro, a temperatura e pressione costante, i volumi dei reagenti hanno un rapporto esprimibile con numeri interi, razionali e semplici.
  • La legge di Avogadro

    La legge di Avogadro

    La legge di Avogadro dice che: Volumi uguali di gas differenti, nelle stesse condizioni di temperatura e pressione contengono lo stesso numero di molecole
  • Legge di Faraday

    Legge di Faraday

    Nel diciannovesimo secolo, Faraday, dedusse che gli atomi dovevano contenere cariche elettriche.
  • La regola di Cannizzaro

    "Le varie quantità in massa di uno stesso elemento, contenute nelle molecole di sostanze diverse, sono tutte multipli interi di una stessa quantità, la quale deve ritenersi la massa atomica dell'elemento"
  • La teoria atomica di Goldstein

    Utilizzando un particolare strumento chiamato "tubo di Crookers" il fisico E. Goldstein ipotizzò l'esistenza dei protoni.
  • La scoperta dell'elettrone

    La scoperta dell'elettrone

    Il fisico britannico, J. Thomson, scoprì la particella di carica negativa: l'elettrone.
  • Modello atomico a panettone di Thomson

    Il modello atomico a panettone, è un modello atomico che prevede cariche negative disperse all'interno di una massa positiva.
  • Modello atomico di Rutherford

    Modello atomico di Rutherford

    Il chimico neozelandese Rutherford scoprì i protoni e le particelle alfa e beta
  • Conferenza generale dei pesi e delle misure

    La mole viene inserita nel Sistema di misure Internazionali
  • Il sistema periodico

    Il sistema periodico

    Il sistema periodico è un libro pubblicato da Primo Levi. Si tratta di una raccolta di 21 racconti. Ognuno dei 21 racconti porta il nome di un elemento della tavola periodica ed è ad esso in qualche modo collegato
  • L'atomo diventa visibile al microscopio

    L'atomo diventa visibile al microscopio

Want to make a timeline like this?

Use Timetoast to turn dates, events, milestones, and phases into a clear visual timeline you can build and share. Timetoast is a timeline maker for work, school, research, and stories.