Larson7 ch07 sect08 improperintegrals assignment01

AP Calculus BC Review

  • Integration

    Integration

    todays unit was all about integration techniques. i am a bit confused on what to do when the bounds on the integral have variables and question like #10 on the yellow integration worksheet. but i am pretty confident with the integration rules like basic trig rules and and u-substitution. Graph analysis with integrals is also pretty good too.
  • Differential Equations

    Differential Equations

    todays unit on differential equations is pretty okay. i am not that good at interpreting slope fields and matching them to an equation. and logistics/carrying capacity is a bit tricky but managable and i am pretty good at Eulers method.
  • Infinite series review

    Infinite series review

    todays topic was about all the diiferent kinds of infinite series. we went over rules of convergence for each test, when to use each test, and common misconceptions about certain tests. for example when using the nth term test, the limit of the series must be 0. if it reaches infinity, the series does NOT necessarily diverge.
  • Period: to

    AP Calculus BC Review

  • Taylor Polynomials, Series, & Remainders

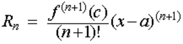
    Taylor Polynomials, Series, & Remainders

    this topic always threw me off. the Lagrange remainder nonsense is what i have been studying the most because it just has not clicked for me yet. i also struggle with finding the general series given a few terms so i will also study that. we discussed today how what the AP graders mean when they ask for a certain degree taylor series and we also reviewed more into series and solving for convergence.
  • Taylor series review day

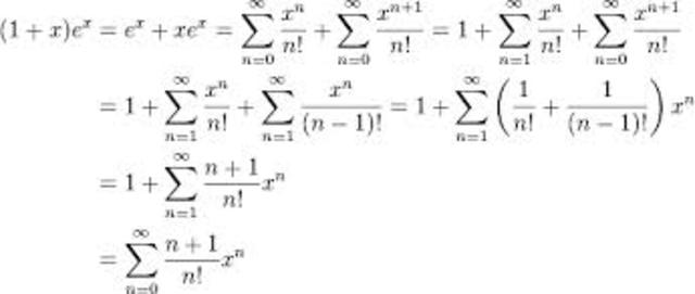
    Taylor series review day

    this lesson wrapped up taylor series, remainders, and series altogether. we worked on parctice AP problems and went over more difficult problems e should expect to encounter on the AP. we also went over common infinite series such as sine, cosine, and e^x.7
  • Advanced integration techniques.

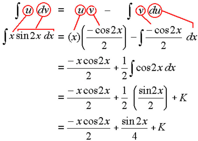
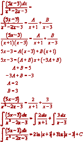
    Advanced integration techniques.

    today we discussed more difficult forms of integration and all the little tricks we learned this year. we reviewd partial fractions, integration by parts, etc. then we took the time to look over each problem before sstarting it because sometimes the answer is more obvious than meets the eye.
  • Applications of the integral

    Applications of the integral

    these can be used in order to find volume of revolutions. as well as finding total amount of something given the rate at which something else increases. we reviewed the formula for rotations around both the x and y axis as well as lines skewed away from these axis.
  • Polar Review

    Polar Review

    todays lesson was strictly on polar. we played a game to test our understanding of polar graphng. this is a topic i struggled with but after a little review, it is starting to make a little more sense to me. we worked on finding the (non)collision points in order to integrate and find the area. my biggest problem with these types of problems is solving for the correct area.
  • Polar Test

    Polar Test

    in my opinion, the polar test went fairly well! i answered almost every single question confidently, remembered all the little details about integration, ets. all the studying paid off. i did however forget how to find collision points and noncollision points. but thats okay because we were allowed to omit one problem. i am very pleased with the test.
  • AP practice problems review

    AP practice problems review

    in Mr. Hyman's absence, we completed practice AP problems in class. it helped me figure out my strong and weak points in order to narrow my field of study. it was pretty easy so i guess thats a good thing. i know i will need to study taylor series and infinite series the most though!
  • AP debriefing

    AP debriefing

    i completly bombed the test at a first glance and did poorly on all the free response and multiple choice yet i still managed to be only 10 points away from getting a 5 in the AP. that was such a confidence booster because i really do not want to waste my money only to receive a bad score. anyway, i clearly have a lot more reviewing to do and i hope that i will get a 5. on the bright side, i only made stupid mistakes which will be a wake up call during the real AP
  • Review time!

    Review time!

    i spent all of today reviewing Taylor series becuase i knew for a fact they would be on the test. i als review volumes of revolution. therse are what i am weakest in and it is a good thing i did because i was able to answer both free responses flawlessly.
  • THE BIG GAME

    THE BIG GAME

    my studying finally payed off! i might have failed essentially every single test this year, but at least i learned from those mistakes. and i cannot wait for you to see my progress! i studied so hard for this test and i feel so confident that i got a 4 or 5. i am so happy with the way the test went. and remembered all the little details i lost points for in the past. thank you Mr. Hymen for such an amazing calculus experience (even though i didnt always realize it)

A list shows items. A timeline shows sequence.

Use Timetoast to make dates, milestones, and turning points easier to understand in a clear visual format. Timetoast is a timeline maker for work, school, research, and stories.