Atomo

Timeline storia dell'atomo

  • J.J. Thompson e l'elettrone

    J.J. Thompson e l'elettrone

    Thompson, utilizzando tubi di vetro di forma opportuna, scoprì che la materia era formata da particelle cariche negativamente che chiamò ELETTRONI.
  • La natura ondulatoria della luce

    La natura ondulatoria della luce

    Il fisico e matematico James Clerk Maxwell afferma che la luce è un tipo di onda elettromagnetica che nasce dalla oscillazione ad alta frequenza di cariche elettriche.
  • J.J. Thompson e il modello a panettone

    J.J. Thompson e il modello a panettone

    Nel suo modello dell'atomo Thompson immaginava gli elettroni che ruotavano in una sfera di carica positiva. Questo modello è noto anche come "modello a panettone"
  • Ernest Rutherford e il suo modello atomico

    Ernest Rutherford e il suo modello atomico

    Rutherford smentisce il modello atomico di Thompson.
    Nel modello di Rutherford c'era un nucleo in cui era concentrata la carica positiva mentre gli elettroni carichi negativamente ruotavano intorno.
  • Neils Bohr e il "modello a planetario"

    Neils Bohr e il "modello a planetario"

    Plank spiegò l’emissione di energia delle sostanze pensando che l’energia fosse emessa a pacchetti discreti che chiamò "quanti di energia". Era nata la fisica quantistica.
    Bohr applicò all’atomo questa teoria e concluse:
    1. L’elettrone sta su orbite ad una certa distanza dal nucleo.
    2. L’elettrone può "saltare" da una orbita ad un’altra soltanto se riceve il giusto "quanto" di energia.
    Anche l’atomo di Bohr però presentava qualche imperfezione: funzionava bene con gli atomi leggeri.
  • Bohr e lo spettro di emissione

    Bohr e lo spettro di emissione

    Niels Bohr capisce che la luce è correlata agli elettroni che ruotano intorno al nucleo e che l'energia viene emessa o assorbita per piccole quantità definite
  • Arnold Sommerfeld e il modello Bohr-Sommerfeld.

    Arnold Sommerfeld e il modello Bohr-Sommerfeld.

    Il fisico tedesco Sommerfeld aggiustò il modello di Bohr
    introducendo l’idea che le orbite dovessero avere diverse forme e non dovessero essere necessariamente circolari, ma ellittiche.
  • Louis De Broglie e le innovative teorie sul dualismo onda-particella della materia

    Louis De Broglie e le innovative teorie sul dualismo onda-particella della materia

    Il fisico francese Louis De Broglie avanzò l’ipotesi che il comportamento ambivalente della luce, corpuscolare e ondulatorio, sia una proprietà caratteristica della materia e associa ad ogni particella in movimento un'onda, che chiama "onda di materia".
  • Period: to

    La conferma del fenomeno dell'onda di materia

    Clinton J. Davisson e Lester H. Germer confermano sperimentalmente la teoria di De Broglie.
    L'esperimento consisteva nel inviare un fascio di elettroni con una velocità prestabilita verso una lastra metallica. Il risultato fu una figura di diffrazione che era stata già associata agli elettroni con una certa lunghezza d'onda tramite la relazione di De Broglie.
  • Max Born e il suo modello atomico

    Max Born e il suo modello atomico

    Nello stesso anno Max Born unì l’equazione di Schrodinger con le conclusioni di Heisemberg: le soluzioni dell’equazione d’onda definivano una zona attorno al nucleo dove la probabilità di trovare l’elettrone era massima. La zona prende il nome di "orbitale". Gli orbitali hanno diverse forme e sono posizionati a distanze diverse attorno al nucleo.
    Le teorie di Rutherford, Bohr, Sommerfel, Schrodinger e Heisenberg finalmente combaciavano in un unico modello atomico.
  • Werner Heisenberg

    Werner Heisenberg

    Il fisico Heisenberg elaborò una sua teoria considerando l’elettrone come una particella e costruì un modello utilizzando le matrici. Le conclusioni furono le stesse di un altro fisico Schrödinger.
  • La regola di Hund

    La regola di Hund

    Quando ci sono 2 o più orbitali con uguale energia gli elettroni tenderanno ad occuparne il maggior numero possibile e di conseguenze avranno stesso numero quantico di spin.
  • La regola di esclusione di Pauli

    La regola di Pauli dice che: 2 elettroni appartenenti allo stesso orbitale devono avere numeri di spin antiparalleli.
  • Period: to

    L'equazione d'onda di Schrödinger

    È l’equazione che risolve il principio di indeterminazione e che ha come risultato il numero quantico "n" che indica l’orbitale.
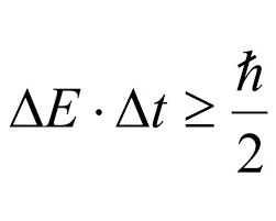
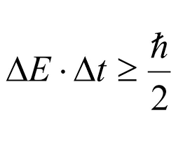
  • Il principio di indeterminazione di Heisemberg

    Il principio di indeterminazione di Heisemberg

    Heisenberg elaborò il principio di indeterminazione di Heisemberg.
    Il principio dice che quando si va a misurare la posizione o la velocità di un elettrone si commette un errore maggiore del risultato trovato. Quindi non è possibile conoscere allo stesso tempo queste due proprietà. In altre parole non è possibile conoscere con certezza assoluta dove sia e a che velocità vada l’elettrone intorno al nucleo. Questa conclusione si adattava perfettamente al concetto di orbitale.
  • James Chadwick

    James Chadwick

    Il fisico inglese James Chadwick scoprì che la massa mancante del nucleo dipendeva dall’esistenza di una terza particella sub-atomica: il neutrone. Con questa scoperta si fa luce anche sulla differenza tra le masse degli stessi elementi. Si scoprirono così gli "isotopi".

A list shows items. A timeline shows sequence.

Use Timetoast to make dates, milestones, and turning points easier to understand in a clear visual format. Timetoast is a timeline maker for work, school, research, and stories.