Chp integral

AP Calculus Prep Journal

  • Day 1: AB Practice and Integration

    Day 1: AB Practice and Integration

    Today we reviewed old AB topics and integration rules. The topics I need the most work on are: 1) Reimann Sums and Trapezoidal Rule! 2) Fundamental Thm of Calc! 3) Mean and Average Value Theorems!
  • Day 2: Differential Equations, logistics and more

    Day 2: Differential Equations, logistics and more

    Today we went over more simple integration rules, logistic (and differential) equations, slope fields, Euler's Method, and some other small topics. The topics that I am least comfortable with are: 1) 2nd Fund Thm of Calc! 2) Slope field, DE, and logistics! (example probelms)
  • Sequences and series

    Sequences and series

    Today we reviewed on sequences and series, including rules and tests for convergence and divergence. I will have to review on my own about the alternating series test as well as the DC and LC tests. Convergence tests
  • Day 4: Polar Test

    Day 4: Polar Test

    Polar unit test today!
  • Day 5: Taylor and Maclaurin Series review

    Day 5: Taylor and Maclaurin Series review

    Today we reviewed taylor polynomials and series as well as the lagrange error bound and power series. I am fairly comfortable with this subject, the only rough area that I have is with the error bounds.
  • Day 6: Partner test

    Day 6: Partner test

    Today we took part of an AP test with a partner
  • Day 7: Partner AP Test

    Day 7: Partner AP Test

    Today we finished taking the partner AP test
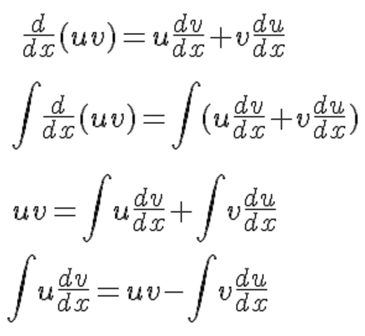
  • Day 8: Integration by parts and Partial Fractions

    Day 8: Integration by parts and Partial Fractions

    Today we reviewed on more advanced integral techniques like integration by parts and partial fractions. The only technique I had trouble with was the trig sub, however that won't be on the AP test!
  • Day 9: re-review on series and sequences

    Day 9: re-review on series and sequences

    Today we had a second review on sequences, series, and taylor polynomials/series. This is still one of my better areas, but again I need to review on my own on the LaGrange error bound and remainders.
  • Review of practice AP

    Review of practice AP

    After recieving the practice AP test, I know that I have to study most of the series and sequence tests as well as some of the polar unit.
  • Two More Days!

    Two More Days!

    Today I wasn't in class because of another AP test, but I found out we went over the most missed problems on the practice/partner tests. Only two more days until the big game!
  • One More Day!

    One More Day!

    Today we played a review game and took a walk outside! Tomorrow's the BIG DAY!
  • TEST DAY!!

    TEST DAY!!

    Today we took the test! I feel pretty good about how I did, but I won't know for sure until the scores are released!

Plan projects on a visual timeline

Map milestones, phases, deadlines, and key events in one place so the sequence is easier to see and share. Timetoast is a timeline maker for work, school, research, and stories.