Calc1

AP Calc Review

By mrezwan
  • BC Review Integration

    BC Review Integration

    We reviewed integration concepts such as basic integration rules, mean value theorem, fundemental and second fundemental theorem, etc. I had forgotten how to do the Riemann sums, and know I have to review that because that has showed up on free responses and multiple choice problems.
  • BC Review Differential Equations

    BC Review Differential Equations

    We went over seperable different equations as well as slope fields. I feel fairly confident on differential equations, especially since we do not need to know Bernoulli equations for the AP! However, I do need to review the equations and procedure for growth and decay models.
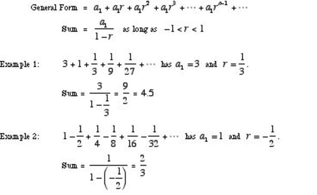
  • BC Review Infinite Series

    BC Review Infinite Series

    We reviewed different series and how to approach testing for convergence or divergence for the types. I feel that I can review efficiently with the paper given to us which shows us the different tests and how to determine convergence/divergence, as well as the worksheet given to us during class .
  • BC Review Taylor Polynomials

    BC Review Taylor Polynomials

    We reviewed Taylor + Maclaurin polynomials, which I feel relatively good about except for the error bounds. I need to review the power series for the main functions that we reviewed to make sure I know them cold!
  • Practice BC Free Response

    Practice BC Free Response

    We had to do free reponse questions with a partner. Although I basically knew what I was supposed to do for much of the free response, I had trouble actually doing it or remembering the proper techniques either due to time pressure or something else. I have to review things we learned in calc AB + practice doing free response questions in limited time!
  • Integration Techniques

    Integration Techniques

    We reviewed integration techniques such as integration by parts, partial fractions, u-sub, etc. Although I know how to do each of those individually when told to do so, I have trouble knowing immediately which method to use when told to simply integrate, which is why I need to review and practice that more.
  • Practice Free Response No GCA

    Practice Free Response No GCA

    I thought for the most part, it was okay. However, I think we messed up the power series for cos(x), which is basic and we should know cold, so I need to make sure I review the basics. Time was a problem, again.
  • Practice AP No GCA

    Practice AP No GCA

    We did the non calculator multiple choice practice AP. I thought other than being pressed for time, overall, the questions were general enough that I knew for the most part how to do them, and it went fairly ok. I think we had to randomly guess on the last couple, however, because we ran out of time.
  • Practice AP GCA

    Practice AP GCA

    We did the calculator part of the practice AP Multiple choice. This section was MUCH harder than the non-calculator part. The questions were much more specific, I felt like, than the non calculator. There were also alot about Series, which I needed to review more. Out of all of the parts of the AP, this is the section I am most worried about.
  • Applications of Integration

    Applications of Integration

    We went over disk, washer, and shell method, which I found very helpful because I always confuse the "formulas" for each. I need to review this more, but I am glad we reviewed this because I feel like it can show up on a free response.
  • Practice AP Review

    Practice AP Review

    We got all of our practice APs back, and I was not happy with most of the grades. For the free responses, in general, there would be 2 okay to good grades, and then a bad one, so I need to try and stay consistent throughout all of the free response questions. The calculator MC part was NOT good, as suspected. I need to review series and just practice alot of the basics.
  • Lagrange Error Bound

    Lagrange Error Bound

    We went over the Lagrange Error Bound by doing a worksheet and then going over it with Mr. Hyman. It helped a little bit, but I don't feel too confident about it. I am hoping that it shows up very rarely if at all on the AP.
  • Hyman Helpful Hints + Zen Walk

    Hyman Helpful Hints + Zen Walk

    We went over some Hyman Helpful Hints and the 10 most common mistakes, which was very helpful and reassuring to go over. We then took a walk to calm our nerves!!
  • AP CALC BC EXAM DAY!!

    AP CALC BC EXAM DAY!!

    I can't exactly tell how I did on it, but I don't feel it was disastrous. I felt confident about some of it, and I definitely did not for other parts of it. However, I definitely think it was not worst than expected, which was nice. While the free responses didn't go perfectly, I feel they were less challenging than the practice ones we did at home.

Want to make a timeline like this?

Use Timetoast to turn dates, events, milestones, and phases into a clear visual timeline you can build and share. Timetoast is a timeline maker for work, school, research, and stories.