Georgie Teuten Journal Page

By gteuten
  • Fundamental Theorems of Calculus Review

    Fundamental Theorems of Calculus Review

    The Fundamental Theorem of Calculus is essentially the way we solve an integral. It allows F(a)- F(b) to be equal to the integral from a to b of f(x). The Second Fundamental Theorem of Calculus states that the derivative of the integral of f(t) from a to x is f(x)* x'.
  • Integration Techniques

    Integration Techniques

    I was not here today, but I'm going to talk about something that was gone over breifly before break. There are a few notable integration techniques: trig rule, parts, u-sub, and the log rule. Trig may require you to "save" some sin/cos/etc. that will be used in du, u-sub is a good go-to when you see the derivative of a function within the integral, parts requires you to set something(LIPET) equal to u and the other piece equal to dv, and log is pretty simple as the integral of 1/x is lnx.
  • Series and Sequences

    Series and Sequences

    We reviewed Euler's method, series', sequences and methods to test for convergence. There are 10 methods: nth term test, integral test, dc, lc, ratio, root, p-series, alternationg series, geometric, and telescoping. NTH TERM ONLY TESTS FOR DIVERGENCE.
  • Taylor Polynomials

    Taylor Polynomials

    We talked about Taylor Polynomials, the LaGrange equation for max error, and power series. Taylor polynomials are equations expressed in the form of series with a designated degree to go to (equation shown in picture). The higher the degree of the taylor polynomial, the more accurate the estimate of f(x).
  • Radius of Convergence

    Radius of Convergence

    The radius of convergence is an important piece of undertsnading series. You test for it using the ratio test and determing what value of x makes the limit of the absolute value less than 1. This gives the interval of convergence- ALWAYS TEST THE ENDPOINTS. Take half of the interval and you have the radius of convergence
  • Euler's Method

    Euler's Method

    I was not in school today so I am going to talk about Euler's method in more depth. Euler's is a way to approximate f(x) using an initial value, dy/dx, and a set step size (dx). Using the intital value, find dy/dx, then multiply this by dx to get dy. Add dy to the initial value of y and you have y(sub)n+1. This is then the next value of y and add dx to the initial value of x to the get the next value for x. Repeat
  • Volume of a Solid from a Graph

    Volume of a Solid from a Graph

    This is such a large topic because there are many techniques to use to find the volume of a solid from a graph, including the disk, washer, and shell methods. The disk and washer method require an area to be rotated around a line where the radius of the "circle" is perpendicular, while the shell method is parallel.
  • Polar Review

    Polar Review

    Today we reviewed polar for our test tomorrow. Some important things about polar are converting points between rectangular and polar form, integrating polar equations, and finding the area between polar graphs. Important formulas: x=rcos(theta) y=rsin(theta) y/x=tan(theta)
  • Polar Test

    Polar Test

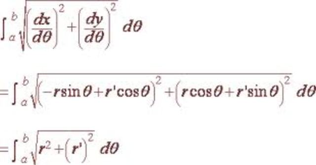
    Today we took the test on polar. Unfortunately, I don't think I did very well. One of the things that confused me was the surface area of the shape revolved around an axis based on a polar equation. I forgot the equation to this and tried to derive it, but the picture attached is the simple equation that I should have memorized.
  • Test Review

    Test Review

    Today we were given practice tests to use to practice and review for the exam. I focused on doing the multiple choice, as this can be hard for me in a timed setting. One of the questions that really tripped me up was on optimization. This is something that we did in AB but not in BC so it was hard for me to remember it. Attached is a part of a video that gave a great example problem of optimization and helped me to remember how to do this type of problem.
  • AP Free Response Problems

    AP Free Response Problems

    This day I worked on a few free response AP Problems. In particular, I reviewed Shell's method in one of the problems. It is important to remember the formula for shells and where is came from because is it different than disk or washer. Shell's requires you to integrate 2pi(r)(h) where r is usually x and h is usually f(x).
  • Parametric Equations

    Parametric Equations

    Today I was not in school, but I reviewed parametric equations. Parametic equations are a set of equations used to express a rectagular equation, but include a third variable, "t," so that x=(something with t) and y=(something with t). There are more than 1 ways that you can express a rectangular equation parametrically. Parametic equations are notable important when solving for the derivative of polar equations.
  • AP Exam

    AP Exam

    Today we took the AP Calc Exam. I felt pretty good about it. I am alwys surprised to see that most of the stuff on the exam is either AP or the simplest form of things that we've been doing in class. I found the multiple choice non-calculator in particular to be very easy. The free response were okay, with a question on taylor polynomials being the only one that tripped me up a little.
    Starbucks posted this pick hoping that those who took the exam saw them as an "integral" part of celebration

A list shows items. A timeline shows sequence.

Use Timetoast to make dates, milestones, and turning points easier to understand in a clear visual format. Timetoast is a timeline maker for work, school, research, and stories.