Amanda Schwab Projectiles Project

  • Entry #1

    Write a paragraph explaining what factoring a quadratic equation has to do with determining the path of a projectile. You may want to include a diagram/graph/visual to go with your written explanation. When graphed, a quadratic equation makes a parabola, and when you graph the path of a projectile, it also makes a parabola.
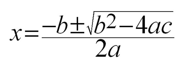
  • Entry #2: Quadratic Formula

    Entry #2: Quadratic Formula

    Factoring can be almost impossible to use because there can be so many options you need to choose from. For example, X^2-7X+15 can be hard to factor. But, if you use he quadratic formula, it can be put together easily, and you will get the same answers as you would if you were able to factor it.

Looking for a timeline maker?

Create timelines for projects, roadmaps, history, lessons, legal cases, and stories with Timetoast. Timetoast is a timeline maker for work, school, research, and stories.