Atoms

HISTORY OF ATOMS

  • doppia natura della luce

    doppia natura della luce

    scoperta della naturta ondulare e corpuscolare che porta alla struttura elettronica degli atomi
  • LUCE DEGLI ATOMI

    LUCE DEGLI ATOMI

    Se si riscalda gas ad alta temperatura viene emesso uno spettro caratteristico di ogni gas fomato da righe separato da spazi neri, bohr capisce che ciò ha a che fare con gli elettroni e che l'energia viene emessa in piccole quantità
  • Atomo di Bohr

    Atomo di Bohr

    Elettroni percorronno orbite circolari senza assorbire o emettere energia
    L'elettrone ha un certa orbita determinata dal valore di energia
    Per cambiare orbita deve assorbere o emettere energia sotto forma di calore
    Perde energia sotto forma di luce(fotoni)
  • Il principio di Aufbau

    Il principio di Aufbau

    Determinare il numero di elettrojni dell'atomo, per l'atomo neutro il numero di elettroni corrisponde a Z
    Modo di distribuire gli elettroni negli orbitali in ordine di energia crescente 1s-2s-2p-3s-3p-4s-3d-4p-5s......
    il numero di esponenti corrisponde al numero di elettroni
  • Louis Victor de Broglie

    Louis Victor de Broglie

    A ciascun corpo in mmovimento è associata una lunghezza d'onda
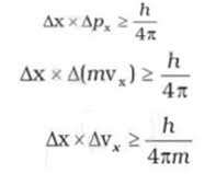
  • Heisenberg

    Heisenberg

    La preciusione con cui si può misurare la posizione di una particella è inversamente proporzionale alla precisione con cui si può misurare la sua quantità di moto
  • Regola di Hund

    Regola di Hund

    Nella configuraziuone più stabile di un atomo, gli elettroni appartenenti a un medesimo sottolivello tendono ad assumere lo stesso spin

A list shows items. A timeline shows sequence.

Use Timetoast to make dates, milestones, and turning points easier to understand in a clear visual format. Timetoast is a timeline maker for work, school, research, and stories.