EDFN 465

  • Pythagorean Theorem made 550BC
    Jan 1, 1500

    Pythagorean Theorem made 550BC

    Pythagorean Theorem
    Pythagorean Theorem a^2+b^2=c^2
  • Period: Jan 1, 1500 to

    Major Events in Math History

  • Irrational Numbers Found 400BC
    Jan 1, 1525

    Irrational Numbers Found 400BC

    Irrational Numbers
    5th Century BC Pythagoras founded irrational numbers
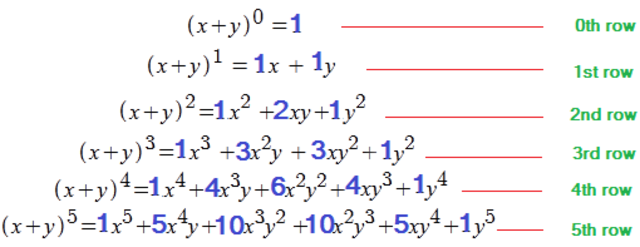
  • Euclid founded Binomial Theorem 350BC
    Jan 1, 1535

    Euclid founded Binomial Theorem 350BC

    Binomial Theorem
    Triangle Expansion
    1
    1 1
    1 2 1
    1 3 3 1
  • Euclid founded Quadratic Formula 300 BC
    Jan 1, 1550

    Euclid founded Quadratic Formula 300 BC

    Eric Teaches Quadratic
    x=-b+-sqrt(b^2-4ac)/(2a)
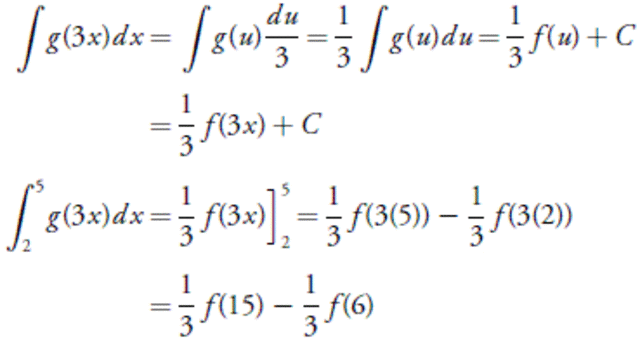
  • Calculus invented

    Calculus invented

    17th century Calculus founded by Isaac Newton and Gottfried Leibniz
  • Pi & i Named

    Pi & i Named

    18th century Leonard Euler named i [sqrt(-1)] and pi [3.14159...]

Looking for a timeline maker?

Create timelines for projects, roadmaps, history, lessons, legal cases, and stories with Timetoast. Timetoast is a timeline maker for work, school, research, and stories.