1 1

Conic Sections Unit

  • Introduction of Conic Sections

    Introduction of Conic Sections

    Today I will indroduce the conic section unit and discuss the essential question. As a class we will go over the rubric for this unit.
  • Guidelines for a safe learning enviornment

    Guidelines for a safe learning enviornment

    Go over the "Guidelines for a Safe Learning Environment" handout.
  • Video introduction of conic sections

    Video introduction of conic sections

    We will watch a Khan Acadmeny video that introduces conic sections. (10 minutes)
  • Online tool

    Online tool

    We will use an online tool to investigate where conic sections come from. (10 minutes)
  • Period: to

    Conic Sections Unit

    This unit will take approximately 4 weeks including time for assessments and reteaching if necessary.
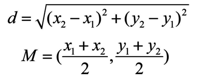
  • Review of midpoint and distance formulas

    Review of midpoint and distance formulas

    We will spend one day reivewing the midpoint and distance formulas.
  • Instagram photos

    Instagram photos

    Students will participate in the intstagram photos activity. (30 minutes)
  • Collaboration - Conics in real life

    Collaboration - Conics in real life

    This activitiy will be on going throughout the unit. We will review the google doc at the end of the unit.
  • Parabolas

    Parabolas

    We will spend two days going over parabola vocabulary, graphing prarabolas and writing equations of parabolas.
  • Assessment #1

    Assessment #1

    We will take the first assessment.
  • Circles

    Circles

    We will spend two days going over circle vocabulary, graphing circles and writing equations of circles. We will go through the Circle Prezi.
  • Ellipses

    Ellipses

    We will spend two days going over ellipse vocabulary, graphing ellipses and writing equations of ellipses.
  • Assessment #2

    Assessment #2

    We will take the second assessment.
  • Hyperbolas

    Hyperbolas

    We will spend two days going over hyperbola vocabulary, graphing hyperbolas and writing equations of hyperbolas.
  • Assessment #3

    Assessment #3

    We will take the third assessment.
  • Desmos conic section activity

    Desmos conic section activity

    We will use desmos to create a picture using all four conic sections. We will spend one day on this actvity.
  • Polygraph: Conics Activity

    Polygraph: Conics Activity

    We will spend half a period doing the Polygraph: Conics activity on desmos.
  • Classifying conic sections

    Classifying conic sections

    We will spend 3 days learning how to classify conic sections from equations. We will go through the Classifying conics Prezi.
  • Assessment #4

    Assessment #4

    We will take the fourth and final assessment.

Plan projects on a visual timeline

Map milestones, phases, deadlines, and key events in one place so the sequence is easier to see and share. Timetoast is a timeline maker for work, school, research, and stories.