Hannah2

AP Calculus Prep Journal

By Htj0223
  • AB Stuff and Integration

    AB Stuff and Integration

    The most important thing that I learned/ was refreshed about was an antiderivative. There was a free response question on the practice AP exam that we took that asked for an example of an antiderivative of a given function. I could not remember what that was and now I know that an antiderivative is just integration.
    It was good to review a lot of this stuff like average value and riemann sums because I forgot little details and shortcuts that are really helpful and will save a lot of time.
  • Differential Equation Review

    Differential Equation Review

    Something I always struggle with on reviews and practice exams is matching slope fields with their differential equation. The hints and tips we went over in class about looking at where the slope is zero, looking at the sign of the slope in the quadrants and looking at the slope on the axis will definitely help me save time on the exam. I also never understood the difference between the two forms of logistic differential equations so it was helpful to really get that information down.
  • Infinite Series Review Pt. 1

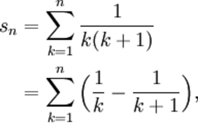
    Infinite Series Review Pt. 1

    Today we did sequences and the very obvious forms of series. I really liked that it was emphasized that a sequence is a set of numbers and a series is the sum of a set of numbers. While talking about the sum of a telescoping series we said it was the difference between the first term and the last term. In some cases the first term may have a couple of terms because the "first term" is really all the terms that don't cancel out. I thought this was really important to remember!
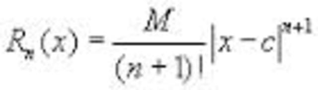
  • Maclaurin and Taylor Series

    Maclaurin and Taylor Series

    The best thing that I was reminded of today was the Lagrange Error bound. That is something I always struggled to remember, but today in class we said it was just the next term in the series. That helped me a lot, and now I will never forget the formula because I know the general form of a series.
  • Power Series

    Power Series

    Today in class we went over power series and radius of convergence. It confused me that when you are finding the radius of convergence, the limit is 0 then its converged for all values of x, but when the limit is infinity it only converged for the center. I think I was think more about what the limit was equal to instead of applying the ratio test rules. Because the limit equals zero, which is less than one, the series has an infinite radius of convergence. It was good to straighten that up.
  • Advanced Integration

    Advanced Integration

    Today we learned advanced integration techniques and the most important thing I learned today was the determinate forms. We have talked a lot about indeterminant forms, but not about a lot of the determinant forms. It was good to be able to distinguish between the determinant and indeterminant because some of them are pretty similar.
  • Applications of Integration

    Applications of Integration

    Area and volume have always been topics that I have struggled with every since calc AB. When we went through all the different options, I was able to compare the uses of each and really distinguish the difference between the types. I totally forgot that cross sections were a thing so it was helpful to distinguish the different forms and examine the uses.
  • Polar Review

    Polar Review

    Today we reviewed for our polar test tomorrow. In trying to remember the formulas for converting polar to rectangular I realized that I don't have to memorize them becuase both formulas stem from a right triangle. If you draw a right triangle with the hypotenuse as the line between the pole and the polar point, you can use pythagorean theorem and tangle to find the x and y values which I thought made the equations easier to understand.
  • Polar Test... More Polar Review

    Polar Test... More Polar Review

    Today in class we took the polar test, studying for that really helped me prepare for the AP. I was really struggling with collision and non collison points but now I understand that the collision points have the same angle and non collision have different angles so they wouldn't hit eachother if there was a particle moving around the polar graph.
  • Volume

    Volume

    Today in class we worked on Free Response and Multiple Choice questions, but I did more review when I got home. I was having a hard time with volume and remebering which integrals had pi infront and which integrals had 2pi infront. I realized that the shell method has the 2pi infront because the volume of a cylinder is 2pi(radius)(height) where the radius is the function and the height is dx.
  • THT Debrief

    THT Debrief

    We got our take home tests back and it helped to boost my confidence a lot about the exam. I did some more review with series and sequences when I got home and also worked on my "When you see these words..." paper which refreshed my memory about a lot of AB topics and BC review. I found a way to divide the area under a curve into two equal parts by splitting the integral, setting them equal to eachother, and then, using the FTC solve for the value where the integrals are split.
  • AP Preparation

    AP Preparation

    I went over all of the dos and don'ts of the exam and did some last minute review. I reminded myself that I need to show all my work and to make sure I always put dx after my integrals. I have to show all my steps and not take any shortcuts because I can get points if I show my work and lose points if I don't. Going over the known integrals and derivatives helped to refresh my memory and reminded me of somethings that I had forgotten.
  • AP Exam

    AP Exam

    After taking the Ap Exam I think I did well. Some of the free response questions were very difficult. There was one question about Linear Approximation and I had no idea how to do that because I don't remember those words. The Calculator portion was not very challenging, but the non calculator had a few stumpers. Overall, I felt confident and well prepared for the exam.

Want to make a timeline like this?

Use Timetoast to turn dates, events, milestones, and phases into a clear visual timeline you can build and share. Timetoast is a timeline maker for work, school, research, and stories.