Untitled

AP Review

By twhite6
  • Day 1

    Day 1

    Basic Integration techinques
    - we reviewed the mean value theorem with integrals
    - we also did the Second Fundemental Theorem of Calc, pretty easy
  • Period: to

    AP Calc Review

  • Day 2

    Day 2

    More Difficult Integration
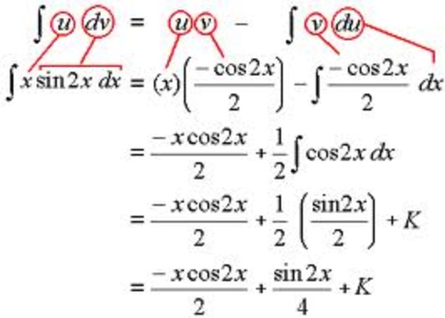
    - we did integrals like int(4xsec(x^2)^2tan(x)
    - basic u sub methods along with tabular
    - we also did logistics and exponential growth, easy to remember
  • Day 3

    Day 3

    Euler's meathod and basic sequences
    - DONT MAKE A MISTAKE WITH EULER!!!
    - i went to google and found a good site to help me, its a bit confusing but i eventually understood it
    - the limit of seq = number ; converges
    - the limit of ser = number ; diverges
  • Day 4

    Day 4

    Review of series
    - we reviewed series and when the converge/ what they converge to
    - we reviewed cos and sin and all the other power sevies, not to difficult
  • Day 5

    Day 5

    AP Free Response, Calculator
    - worked with jon p on some problems, i dont know how we did but i think we did good
  • Day 6

    Day 6

    we didnt do anything, just the senior picture
  • Day 7

    Day 7

    AP Free Response, no Calculator
  • Day 8

    Day 8

    AP Multiple Choice, no Calculator
  • Day 9

    Day 9

    AP Multiple Choice, Calculator
  • Day 10

    Day 10

    Review of Volume of Revolutions and Cross Sections
  • Day 11

    Day 11

    Review of Practice AP
    - I now know that I need to study Larange Error bound, realated rates, and taylor polynomials
  • Day 12

    Day 12

    We reviewed Lagrange Error bound, so I think Im all set fo the AP test
  • Day 13

    Day 13

    After going over a packet with some tips, we went for a nice walk to prepare for the Big Game tomorrow, but im ready

A list shows items. A timeline shows sequence.

Use Timetoast to make dates, milestones, and turning points easier to understand in a clear visual format. Timetoast is a timeline maker for work, school, research, and stories.