Dsc00294

AP Calculus BC Craziness

  • Friday, April 8th

    Friday, April 8th

    Polar equations make more sense now. The equations for arc length and surface area of revolution are similiar to their parametric counterparts. I'm only having trouble setting up the bounds for these integrals. The shell to the left reminds me of an Archimedean spiral polar graph.
  • Period: to

    AP Calc BC calendar

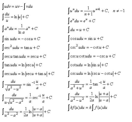
  • Monday April 11 2011

    Monday April 11 2011

    I've now realized how much basic integration I have forgotten. Big discovery today: sometimes it's easier not to use parts and instead use u-substitution and manipulation of equations. To the left is a list of integrals to re-memorize!
  • Tuesday April 12, 2011

    Tuesday April 12, 2011

    Today we reviewed some DEs and logistic growth models. While most of it came back to me pretty quickly, I need to review how to derive the logistics growth model. Important to remember: a population is growing the fastest at half of it's maximum carrying capacity! (steepest part of S-curve)
  • Wednesday April 13, 2011

    Wednesday April 13, 2011

    Today, after school, I visited Johns Hopkins University. I realized how thankful I am that we were exposed to difficult math concepts beyond what is on the AP test....like First Order Linear Equations. Next year's Calc III is going to be CRAZY.
  • Thursday April 14, 2011

    Thursday April 14, 2011

    After taking the non-calculator portion of the multiple choice test, I need to review series and sequences. I should re-memorize the chart of all the tests for convergence. It's been too long..
  • Friday April 15, 2011

    Friday April 15, 2011

    Today I officially handed in my enrollment form to Hopkins. I am committed- committed to paying an exorbitant amount of money for my education. But it's worth it? It got me thinking about reviewing the savings equations we learned in pre calc and then again in calc bc: future value and present value equations.
  • Tuesday April 26, 2011

    Tuesday April 26, 2011

    I remember L'hopital's rule!! It's been a while since I visited that rule. I relearned that if a limit approaching zero is an IND form (ie 0/0), we can take the derivative of the top function over the derivative of the bottom function and refind the limit....continuing until we don't have an IND form. YAY! That's Guilliame L'Hopital to the right, the founder of this helpful hint.
  • Wednesday April 27, 2011

    Wednesday April 27, 2011

    As I completed some of the multiple choice for our take-home practice AP, I realized how much I love slope field questions. They save a ton of time if you look for obvious assymptotes and then plug and chug points into the remaining possible slopes. Easy.
  • Thursday April 28, 2011

    Thursday April 28, 2011

    Today we reviewed how to find the radius os convergence and the interval of convergence. While I am still not sure what the difference is between the two, I do know that with the interval of convergence yuo must check end points by substituting them back into the series to test if those values allow the series to converge. And we use the ratio test to find the radius and interval of convergence!
  • Friday April 29, 2011

    Friday April 29, 2011

    Today we reviewed applications of integration (aka volumes of revolution). I now know that it is much easier to use the shell method when the representative rectangle is parallel to the axis of rotation, and we should use the washer methond when the representative rectangle is perpendicular to the axis of rotation!
  • Monday May 2, 2011

    Monday May 2, 2011

    I feel ready for the big game. The only shaky things I am worried about are summations and convergence/divergence.
  • Tuesday May 3, 2011

    Tuesday May 3, 2011

    Today we took our class walk. And we discussed Hyman's Helpful Hints. I just made sure my calculator was in radians mode.
  • Wednesday May 4, 2011

    Wednesday May 4, 2011

    GAME DAY! I thought the test was much easier than the practice tests you gave us, Mr. Hyman. The last free response problem was problematic though. Otherwise, test went well!

A list shows items. A timeline shows sequence.

Use Timetoast to make dates, milestones, and turning points easier to understand in a clear visual format. Timetoast is a timeline maker for work, school, research, and stories.