AP Calculus BC

  • Beginning of review

    Beginning of review

    This is the 1st of a series of entries regarding AP Calculus BC review. We reviewed integration today. I felt very good about it. The concepts are still familiar.
  • Differential Equations

    Differential Equations

    Today, we reviewed differential equations. It was very useful because we haven't worked on differential equations for a long time. Having a refresher is a big step in preparing for the big test.
  • Infinite Series

    Infinite Series

    Today, we reviewed infinite series. It was very useful since it gave me a refresher on what the rules are for convergence/divergence.
  • Taylor Polynomials, Series

    Taylor Polynomials, Series

    Today, we reviewed Taylor Polynomials, Series, and more. It was very helpful since these are critical topics.
  • Practice Questions

    Practice Questions

    Today, we completed practice questions in preparation for the AP test.
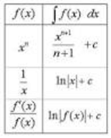
  • Advanced Integration Techniques

    Advanced Integration Techniques

    We reviewed Advanced Integration Techniques. It was helpful since we hadn't done integration in a while.
  • Integration Applications

    Integration Applications

    We reviewed Integration Applications today. It was helpful since we hadn't worked with these types of problems in a long time.
  • Polar Review

    Polar Review

    We reviewed polar stuff in preparation for the test tommorow.
  • Polar Test

    Polar Test

    We took the Polar test today. Calculator part was better than the non-calculator part.
  • Practice Session

    Practice Session

    We did practice AP problems. Practice makes perfect.
  • Debrief THT

    Debrief THT

    We went over the Practice Test.
  • Pregame

    Pregame

    We did our walk of prepraration on the final day before the AP test.
  • AP Day

    AP Day

    Today is the big day. I thought I did well on the test. The FR was very good. Calculator MC was better than Non-Calculator MC.