Amry Majeed Calc BC Journal Page

By ammaj
  • Integration Review

    Integration Review

    We reviewed simple integration techniques. We also went over the Mean Value Theorem, which I think I need to go over. The MVT states that over a closed interval of a differentiable continuous function, somewhere along that interval, there is a point at which the average velocity equals instantaneous velocity.
  • Exponential/Logistic Review

    Exponential/Logistic Review

    We reviewed exponential growth and logistic growth. I am comfortable with these types of problems, since I am able to integrate the differential equations even if I can't memorize the functions for logistic/exponential growth.
  • Sequence/Series Review

    Sequence/Series Review

    We reviewed sequences and series. We went over all the tests for series that determine if it converges or diverges. I must remember that a sequence is a list while a series is a sum. I am fairly comfortable with all the series tests, however. The first one to go to is always the nth term test.
  • Polar Equations/Derivatives/Integral Test

    Polar Equations/Derivatives/Integral Test

    We took a test on polar form and it was very hard, particularly the questions involving the area. I need to look over how to find the bounds when setting up integrals for these types of problems.
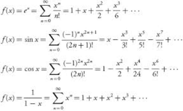
  • Taylor Polonomials/Maclaurin Series Review

    Taylor Polonomials/Maclaurin Series Review

    We reviewed the formula for converting a function into a Taylor polynomial. I struggle sometimes when I have to find the function, given the series. I need to review the series for basic functions like sinx, cosx, and e^x.
  • Part 1 Multiple Choice Practice AP

    Part 1 Multiple Choice Practice AP

    We completed Part 1 of the multiple choice portion of a practice AP test. Our timing was efficient and we were able to get about 10 problems of Part 2 done.
  • Part 2 Multiple Choice Practice AP

    Part 2 Multiple Choice Practice AP

    We completed the non-calculator portion of the MC and much of it was very straightforward. Right now, my biggest weakness appears to be Taylor series/Maclaurin Polynomials.
  • Basic Integration Techniques

    Basic Integration Techniques

    We reviewed partial fractions, u du substitution, IBP, polynomial long division in integration, and arc trig integrals.
  • Sequence/Series Extra Review

    Sequence/Series Extra Review

    We reviewed everything from telescoping series to Maclaurin series to Power Series. This review was much needed to say the least and cleared up a bit of fog in my brain. I must review LaGrange though.
  • Practice AP Review

    Practice AP Review

    Going over the test really benefitted me and the rest of the class, in my opinion. I completely forgot about the Second Derivative test, which was used on one of the parts of the free response. I also had forgotten about the L'Hopital Rule and got some clarification on that in the discussion.
  • Practice AP Review (Take-Home Test)

    Practice AP Review (Take-Home Test)

    We reviewed the take home test and I got some more clarification on the problems I missed. For example, in a parametric equation with position vector <x,y>, I learned that the particle is at rest for the value of t that makes both x' and y' 0.
  • Last Minute AP Review

    Last Minute AP Review

    I scanned the formulas for arc length, differential growth, and the remainders. I am now comfortable with all the material that we have covered this year.
  • AP TEST

    AP TEST

    The test was very manageable. I finished each section with at least 5-10 minutes to spare. I also had to change a few answers that had questions with graphs since I realized that the graphs were of f'(x), not f(x). But in general, the test presented nothing shocking and the preparation definitely paid off.