Historia del cálculo diferencial e integral

  • Arquímedes
    300 BCE

    Arquímedes

    Mostró que el valor de π (pi.) es mayor que 223/71 y menor que 22/7.
  • Arquímedes
    287 BCE

    Arquímedes

    Método exhaustivo para calcular el área bajo el arco de una parábola con el sumatorio de una serie infinita.
  • Arquímedes
    225 BCE

    Arquímedes

    Demostró que el área de un segmento de parábola es 4/3 del área del triángulo con los mismos base y vértice y es igual a 2/3 del área del paralelogramo circunscrito.
  • Pierre de Fermat

    Pierre de Fermat

    Fue el primero en estudiar las cuestiones de máximo y mínimo con el método que hoy llamamos de las "derivadas".
  • Pierre de Fermat

    Pierre de Fermat

    Data su famosa carta a Brûlart, donde Fermat resumiría de manera bastante clara su método para determinar máximos y mínimos y su cálculo de tangentes.
  • John Wallis

    John Wallis

    Escribió su Arithmetica Infinitorum en 1655. Abordó
    sistemáticamente, por primera vez, la cuadratura de las curvas de la forma y=x k donde que no es necesariamente un entero positivo.
  • Pierre de Fermat

    Pierre de Fermat

    En vida sólo publicó un trabajo y hubo que esperar a que su hijo mayor publicase su obra Fermat llega a la ecuación que hoy en día escribimos como f’(x)=0.
  • Isaac Newton

    Isaac Newton

    Demostró que los problemas del área y la tangente son inversos, lo que se conoce como teorema fundamental del cálculo.
  • Pierre de Fermat

    Pierre de Fermat

    La creencia actual es que Fermat había demostrado el teorema para n=4 (y quizás también para n=3) y creía que podía generalizar su demostración para cualquier valor de n. La demostración del caso n=4 utilizaba otro gran descubrimiento de Fermat, el método de descenso infinito.
  • Isaac Barrow

    Isaac Barrow

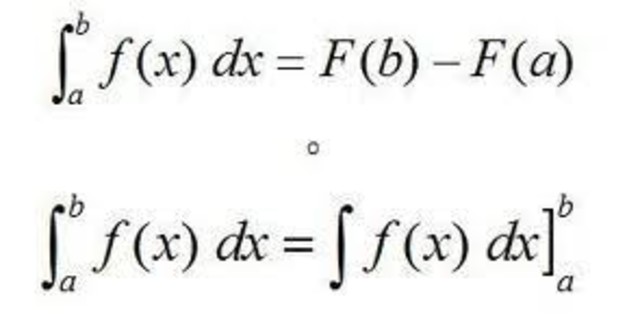
    Interpretó geométrica la integración definida.
  • Isaac Newton

    Isaac Newton

    Descubrió los elementos del cálculo diferencial, que llamaba fluxiones.
  • Isaac Barrow

    Isaac Barrow

    El teorema fundamental del cálculo demuestra que la derivación y la integración son operaciones inversas.
  • Isaac Newton

    Isaac Newton

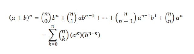
    Descubre el Teorema del binomio
  • Isaac Newton

    Isaac Newton

    Descubre el cálculo con las series infinitas.
  • Isaac Barrow

    Isaac Barrow

    La regla de Barrow permite al Cálculo de integrales definidas a partir de algunas de sus primitivas. La más conocida es el cálculo del área delimitada por la gráfica de una, o varias funciones.
  • Isaac Newton

    Isaac Newton

    Descubrió el método inverso de fluxiones.
  • Isaac Newton

    Isaac Newton

    Descubrió la relación entre cuadraturas.
  • Isaac Newton

    Isaac Newton

    Newton considera la circunferencia de centro (1/2,0) y radio ½.
  • Gottifried Wilhelm Leibniz

    Gottifried Wilhelm Leibniz

    Empleó por primera vez el cálculo integral para encontrar área bajo la curva de una función f=y(X).
  • Gottifried Wilhelm Leibniz

    Gottifried Wilhelm Leibniz

    Denominó la regla del producto de cálculo diferencial, ya que éste dice cuándo y cómo diferenciar bajo el símbolo integral.
  • Gottifried Wilhelm Leibniz

    Gottifried Wilhelm Leibniz

    Suministró encauces independientes y agrupados para la diferencia y los derivados.
  • Gottifried Wilhelm Leibniz

    Gottifried Wilhelm Leibniz

    Fue el primero en emplear explícitamente los conceptos geométricos derivados de una curva, tales como la abscisa, ordenada, tangente, cuerda y perpendicular.
  • Maria Afnesi

    Maria Afnesi

    En 1748 aparecieron sus Instituzioni Analitiche, fruto de diez años de trabajo, que había comenzado con 20 años y terminó antes de cumplir los 30. Fue su principal obra. Era una recopilación sistemática, en dos volúmenes y un total de unas mil páginas.
  • Lagrange y Laplace

    Lagrange y Laplace

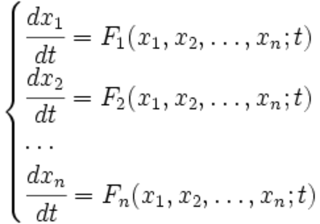
    Lagrange y Laplace estudiaron y elaboraron métodos para resolver sistemas de ecuaciones diferenciales ordinarias.
  • Lagrange

    Lagrange

    Apareció su memoria fundamental sobre las integrales definidas y luego abordando el teorema de Fermat sobre los números poligonales.
  • Augustin Louis Cauchy

    Augustin Louis Cauchy

    Enseñó los métodos de integración que había descubierto, pero no publicado anteriormente.
  • Augustin Louis Cauchy

    Augustin Louis Cauchy

    Gracias a Cauchy, el análisis infinitesimal adquiere bases sólidas. Empezando con su Analyse Algébrique de 1821, que lo escribió como texto de sus alumnos de la École Polytechnique.
  • Augustin Louis Cauchy

    Augustin Louis Cauchy

    En Leçons el Calculó Diferencial define por primera vez el concepto de función compleja de variable compleja.
  • George Frienrich Bernhard Riemann

    George Frienrich Bernhard Riemann

    Funciones de variables complejas.
  • George Frienrich Bernhard Riemann

    George Frienrich Bernhard Riemann

    El análisis y la geometría diferencial.
  • Karl Theodor Wilhelm Weierstrass

    Karl Theodor Wilhelm Weierstrass

    En 1855, estaba interesado en la solidez de cálculo. Weierstrass también hizo avances significativos en el campo del cálculo de variaciones. Utilizando el aparato de análisis que él ayudó a desarrollar, Weierstrass fue capaz de dar una completa reformulación de la teoría que allanó el camino para el estudio moderno del cálculo de variaciones.
  • Guillaume de l'Hôpital

    Guillaume de l'Hôpital

    En 1696, escribió el primer libro de cálculo diferencial. Gran parte del contenido de este libro, incluyendo el método conocido como "regla de L'Hôpital", se basó en el trabajo anterior de Juan Bernoulli.

Want to make a timeline like this?

Use Timetoast to turn dates, events, milestones, and phases into a clear visual timeline you can build and share. Timetoast is a timeline maker for work, school, research, and stories.