Historia de la Matemática

  • Plimpton 322
    1800 BCE

    Plimpton 322

    Es una tablilla de barro de Babilonia, que destaca por contener un ejemplo de las matemáticas babilónicas. Tiene el número 322 en la colección GA Plimpton en la Universidad de Columbia. Esta tableta, se cree que fue escrita cerca de 1800 a. C., tiene una tabla de cuatro columnas y 15 filas de números en escritura cuneiforme de la época.
  • Eudoxo
    350 BCE

    Eudoxo

    Fue un filósofo, astrónomo, matemático y médico de la Antigua Grecia, pupilo de Platón. Nada de su obra ha llegado a nuestros días; todas las referencias con las que contamos provienen de fuentes secundarias, como el poema de Arato sobre astronomía. Eudoxo fue el primero en plantear un modelo planetario basado en un modelo matemático, por lo que se le considera el padre de la astronomía matemática.
  • Pitágoras
    150 BCE

    Pitágoras

    Fue un filósofo y matemático griego considerado el primer matemático puro. Contribuyó de manera significativa en el avance de la matemática helénica, la geometría, la aritmética, derivadas particularmente de las relaciones numéricas, y aplicadas por ejemplo a la teoría de pesos y medidas, a la teoría de la música o a la astronomía.
  • Renacimiento de la Matemática
    2 BCE

    Renacimiento de la Matemática

    La historia de las matemáticas es el área de estudio de investigaciones sobre los orígenes de descubrimientos en matemáticas, de los métodos de la evolución de sus conceptos y también en cierto grado, de los matemáticos involucrados.
  • La aparición de los números
    2 BCE

    La aparición de los números

    La numeración apareció en lugares distintos del planeta, desarrollada por civilizaciones que no tenían ningún tipo de contacto, durante más o menos el mismo periodo de tiempo.
    Los símbolos que se inventaron entonces no se parecen a los que usamos ahora. Por ejemplo, en la antigua cultura egipcia usaban un sistema numérico en el que el número “1” era un palo, el “10” era una especie de “U” invertida y el “100” se dibujaba con un espiral.
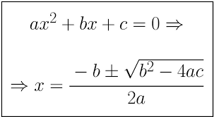
  • Ecuaciones de tercer grado
    1501

    Ecuaciones de tercer grado

    Fue inventor de un método, similar a la fórmula para ecuaciones cuadráticas, para resolver ecuaciones de tercer grado. Estando ya en Venecia, en 1535, su colega del Fiore (discípulo de Scipione del Ferro, de quien había recibido la fórmula para resolver ecuaciones cúbicas). Tartaglia desarrolló la fórmula general para resolver las ecuaciones de tercer grado, por lo que consiguió resolver las treinta cuestiones que le planteó su contrincante.
  • La álgebra de Boole

    La álgebra de Boole

    fue un matemático y lógico británico. Como inventor del álgebra de Boole, que marca los fundamentos de la aritmética computacional moderna, Boole es considerado como uno de los fundadores del campo de las ciencias de la computación.
  • El Papiro de Moscú

    El Papiro de Moscú

    El más importante documento matemático del antiguo Egipto. Fue comprado por el egiptólogo ruso Vladímir Goleníshchev (1856-1947) en 1883, a través de Abd-el Radard, una de las personas que descubrió el escondite de momias reales de Deir el-Bahari. Originalmente se lo conocía como Papiro Goleníshchev pero desde 1912, cuando fue comprado por el Museo Pushkin de Moscú (n.º 4576), se conoce como Papiro de Moscú.
  • Geometría analítica

    Geometría analítica

    Nacimiento: 17 de agosto de 1601
    Fallecimiento 12 de enero de 1665 Castres (Francia)
    Educado en Antigua Universidad de Orleans (desde 1623)
    Información profesional
    Fundador de la teoría de probabilidades junto a Blaise Pascal e independientemente de Descartes, descubrió el principio fundamental de la geometría analítica. Y el más conocido por sus aportaciones a la teoría de números.

A list shows items. A timeline shows sequence.

Use Timetoast to make dates, milestones, and turning points easier to understand in a clear visual format. Timetoast is a timeline maker for work, school, research, and stories.