Equilibrio

El concepto de equilibrio químico. Historia y controversia

  • Arquímides
    270 BCE

    Arquímides

    Arquímides postula la primera ley mecánica enunciada en la historia en la que jugaba un papel fundamental la condición de equilibrio.
    Establece que una palanca en equilibrio horizontal permanece así mientras no se desplacen los pesos de sus posiciones respectivas.
  • Robert Boyle

    Robert Boyle

    Pretendió explicar todos los procesos químicos sobre la base de fuerzas microscópicas –atractivas o repulsivas– entre los presuntos
    corpúsculos materiales
  • Period: to

    Antoine Laurent De Lavoisier

    Propone un
    sistema lógico de nomenclatura para los elementos químicos y
    demostró experimentalmente la conservación de la materia
    en las reacciones químicas
  • Period: to

    Thomas Young

    Utilizó la denominación de “energía” para la vis viva de Leibniz,
    pero el nombre hizo fortuna y no tardó en extender su campo
    de aplicación
  • Teoria del Equilibrio

    Teoria del Equilibrio

    Claude Louis Berthollet. Químico francés, fundador de la teoría del equilibrio.
  • Napoleón y su elección

    Napoleón y su elección

    Napoleón tuvo el buen juicio de incluir a Berthollet, en su campaña en Egipto, cuyas facultades de observación darían con una de las ideas claves de la química.
    "La concentración relativa de las especies químicas,
    influye en el sentido y rapidez de una reacción"
  • Period: to

    Michael Faraday

    Estudió el electromagnetismo y la electroquímica. Sus principales descubrimientos incluyen la inducción electromagnética, el diamagnetismo y la electrólisis.
  • Period: to

    William Rankine

    Introdujo la expresión “energía potencial”
  • Electrólisis

    Electrólisis

    Faraday estableció las leyes de la electrolisis
    a partir de una serie de estudios experimentales sobre el
    fenómeno de la descomposición de sustancias químicas por la
    acción de una corriente eléctrica
  • Velocidad de reacción química

    Velocidad de reacción química

    Wilhelmy define como la velocidad de reacción química al ritmo al
    cual los reactivos se descomponían para formar los productos.
  • Jean-Baptiste

    Jean-Baptiste

    Gracias a Jean-Baptiste Dumas era conocido que algunas transformaciones químicas podían quedar incompletas a causa de la compensación entre reacciones inversas una de otra.
  • Guldberg y Waage

    Guldberg y Waage

    En una serie de tres artículos publicados en 1864 relacionaban la afinidad, o tendencia a la reacción, de una sustancia
    no solo con su naturaleza química sino también –siguiendo
    a Berthollet– con la cantidad presente de la misma.
    Tomaron como modelo la reacción reversible de sustitución:
    ácido + alcohol <=> éster + agua.
  • "Ley de acción de masas"

    "Ley de acción de masas"

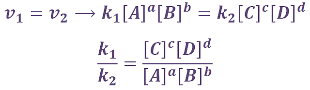
    Cato Maximilian Guldberg y Peter Waage anuncia la Ley de acción de masas;que establece la relación entre las masas de reactivos y productos en un equilibrio químico a una temperatura determinada
  • Concentración y su relación con su coeficiente estequiométrico

    Concentración y su relación con su coeficiente estequiométrico

    Guldberg y Waage habían conjeturado que las concentraciones de las especies participantes habrían de estar elevadas a un exponente igual al valor de sus coeficientes estequiométricos
  • Concepto de potencial

    Concepto de potencial

    El estadounidense Gibbs introdujo el concepto de potencial en la termodinámica química, simbolizado por μ, como el incremento de energía dividido entre la cantidad de materia añadida a un sistema
    bajo ciertas condiciones.
  • Velocidad de reacción en una analogía con la teoría de colisiones de los gases"

    Velocidad de reacción en una analogía con la teoría de colisiones de los gases"

    Guldberg y Waage retornaron al caso general (exponentes cualesquiera) basando sus argumentos sobre la velocidad de reacción en una analogía con la teoría de colisiones de los gases, a la vez que conjeturaban la validez universal –para cualquier tipo de reacción– de la condición de equilibrio representada por el cociente de ambos coeficientes de afinidad, k/k´
  • Le Châtelier

    Le Châtelier

    Le Châtelier pretendía estructurar la teoría química de modo análogo.
    Es conocido por su principio de los equilibrios químicos, llamado principio de Le Châtelier
  • Le Châtelier se propuso generalizar este enunciado de Van’t Hoff

    Le Châtelier se propuso generalizar este enunciado de Van’t Hoff

    "Esta ley podía generalizarse aún más extendiendo lo que dice de la temperatura a la condensación, y, más aún, podría dársele una forma idéntica a las de las leyes de todos los equilibrios que producen trabajo mecánico por su desplazamiento, las cuales dependen en consecuencia del teorema de Carnot..."
  • "Potencial Químico"

    "Potencial Químico"

    El término actual "potencial químico" parece haber sido acuñado por el químico-físico de la universidad de Cornell, Wilder Dwight Bancroft
  • Period: to

    Dudas sobre el Principio de Le Châtelier

    El principio de Le Châtelier no es una regla infalible, ni su aplicación indiscriminada nos garantizará siempre una correcta predicción del comportamiento de los equilibrios químicos.
  • La simplicidad y la presunta universalidad del principio de Le Châtelier

    La simplicidad y la presunta universalidad del principio de Le Châtelier

    Únicamente cuando una variable intensiva –como la presión o la temperatura– permanece constante, la regla de Le Châtelier adquiere un significado inequívoco

Want to make a timeline like this?

Use Timetoast to turn dates, events, milestones, and phases into a clear visual timeline you can build and share. Timetoast is a timeline maker for work, school, research, and stories.