Penguins

AP Calculus BC Review 2012

By benweks
  • Calculus AB Material

    Calculus AB Material

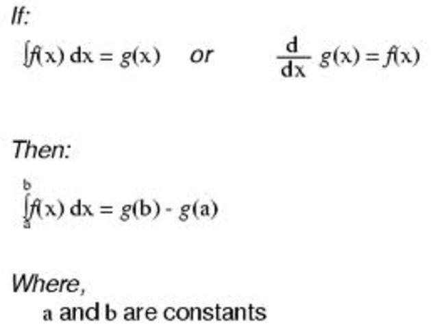
    Today we reviewed integration techniques, identities, summations, and formulas that we learned in Calc AB. The Riemann sums and identities are very easy for me to remember, however, the technique of u-substitution and then solving for x was a blast from the past. I need to study that, as well as to review the arctrig integral equations.
  • Period: to

    Review

  • Slope Fields, Euler's Method, and Logistics

    Slope Fields, Euler's Method, and Logistics

    Slope fields and Euler's method are both very easy to do for me, and I remember both very clearly, however, I do need to review the order that the columns on and Euler's method chart should be presented in. I struggled with logistics when we learned it in class, and I need to review carrying capacity, integration of population growth, and other key values related to logistics.
  • Series, Summations, and Tests of Convergence

    Series, Summations, and Tests of Convergence

    This is probably the unit that I need to spend the most time reviewing. Geometric series, the ratio test, the root test, and telescoping series were all easy for me to remember, but I never really mastered the root tests or tests involving alternating series. It will also be good for me to review the criteria for convergence that apply to each test that Mr. Hyman so nicely put on one sheet for us.
  • Taylor Polynomials, Error Bounds, and Remainders

    Taylor Polynomials, Error Bounds, and Remainders

    Today we reviewed Taylor polynomials, the LaGrange error bound, and the remainder of a summation. I understood the remainder = next term - sum of finite amount of terms well, and I am pretty good at writing the Taylor polynomial, as well as the Maclaurin polynomial (centered at 0), for a function, but the LaGrange error bound still confuses me greatly, so I need to review what I should be using for my values of z in the error bound equation.
  • Complex Integration and L'Hopital's Rule

    Complex Integration and L'Hopital's Rule

    Today we discussed various methods for integration that we learned this year. The most important method that we discussed is integration by parts, which occurs very frequently on the AP exam. I am very good at integration by parts and L'Hopital's Rule, however, it would be smart of me to review the more complex problems that involve L'Hopital's Rule, in addition to the several indeterminant forms, which I always forget.
  • Volumes of Revolution

    Volumes of Revolution

    Today we reviewed the different methods and strategies for revolving an area around either axis or a line. We went over the disc, washer, and shell methods, as well as a quick review of how to find the area of an enclosed space. I remembered how to handle the disc and washer methods very well, but I still have some confusion about how to handle the shell method. As such, I will allocate some of my review time to going over the shell method, and how to assign the variables in the shell method.
  • Practice Test Review

    Practice Test Review

    Today we reviewed the practice in-class and take-home tests, and I did pretty well on both. My biggest issues were, unsurprisingly, Taylor polynomials, Lagrange error bound, and summations. We did not make many stupid mistakes, but I should make sure to check all of my work twice,

Looking for a timeline maker?

Create timelines for projects, roadmaps, history, lessons, legal cases, and stories with Timetoast. Timetoast is a timeline maker for work, school, research, and stories.