Los Conjuntos Numéricos

  • Números Reales
    1000 BCE

    Números Reales

    Es todo aquel número racional o bien irraccional.
    Cómo conjunto númerico se identifica con el símbolo R cjto.gif y es la unión del conjunto Q cjto.gif de todos los números racionales con el conjunto de todos los números irracionales, siendo un conjunto infinito y no contable. Un número real puede ser representado por un decimal infinito periódico o aperiódico; pero en la práctica social basta, en caso pertinente, una aproximación por un decimal finito.
  • Historia de los Números Reales(Definición)
    1000 BCE

    Historia de los Números Reales(Definición)

    Los egipcios dieron origen por primera vez a las fracciones comunes alrededor del año 1000 a. C.; alrededor del 500 a. C. un grupo de matemáticos griegos liderados por Pitágoras se dio cuenta de la necesidad de los números irracionales.Con todo esto el estudio de sistematización en el siglo XIX fue logrado con la teoría de conjuntos de Georg Cantor y el análisis matemático de Richard Dedekind, todo esto siendo resultado de las aportaciones por matemáticos como Descartes, Newton, etc.
  • Historia de los Irracionales(Definición)
    582 BCE

    Historia de los Irracionales(Definición)

    El pensamiento pitagórico se levanta sobre una estructura matemática racional: todo lo que se salga de su orden de pensamiento, escapa a la razón. Por ello esta escuela entró en crisis. El archiconocido Teorema de Pitágoras fue redescubierto por esta escuela de pensamiento, pero con él llegó el problema, pues como primera aplicación del teorema obtenemos un nuevo número √2. Y resulta que este número no es mensurable con respecto a la unidad.
  • Números Irracionales
    500 BCE

    Números Irracionales

    El conjunto de los números irracionales se representa por I y está formado por todos los números decimales cuya parte decimal tienen infinitas cifras periódicas, es decir, por todos los números que no se pueden representar por el cociente de dos números enteros.Pero hay métodos geométricos que permiten representar algunos números irracionales en la recta numérica.
  • Números Naturales
    19 BCE

    Números Naturales

    Los números naturales son aquellos que permiten contar los elementos de un conjunto.El primer conjunto de números que fue utilizado por los seres humanos para contar objetos. Uno (1), dos (2), cinco (5) y nueve (9), por ejemplo, son números naturales.
    Sin el cero:

    N={1,2,3,4,...}
    Con el cero:
    N={0,1,2,3,4,...}
    El símbolo de estos números es una N que se suele escribir en "negrita de pizarra".
  • Historia de los números Naturales(Definición)
    19 BCE

    Historia de los números Naturales(Definición)

    Su representación de cantidades, el hombre usó otros métodos para contar, utilizando para ello objetos como piedras, palitos de madera, nudos de cuerdas, o simplemente los dedos. Más adelante comenzaron a aparecer los símbolos gráficos como señales para contar, por ejemplo marcas en una vara o simplemente trazos específicos sobre la arena. Pero fue en Mesopotamia alrededor del año 4.000 a. C.(Historia Completa)https://es.slideshare.net/pedro856/historia-de-los-nmeros-naturales-13963357
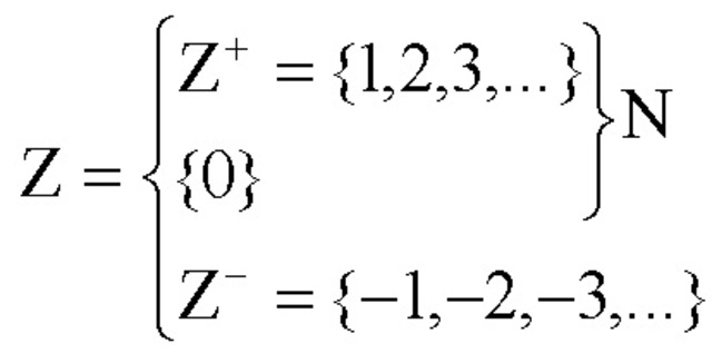
  • Números Enteros
    17 BCE

    Números Enteros

    Los números enteros son conjuntos que incluyen a los números naturales distintos de cero(1,2,3...) los negativos de los números naturales (..., −3, −2, −1) y al 0.Los enteros negativos, como −1 o −3 (se leen «menos uno», «menos tres», etc.), son menores que todos los enteros positivos (1, 2, ...) y que el cero.El conjunto de todos los números enteros se representa por la letra ℤ = {..., −3, −2, −1, 0, +1, +2, +3, ...}, que proviene del alemán Zahlen.
  • Historia de los números Enteros(Definición)
    17 BCE

    Historia de los números Enteros(Definición)

    Los números enteros tuvieron aceptación en trabajos científicos europeos, aunque matemáticos italianos del renacimiento como Tartaglia y Cardano los hubiesen ya advertido en sus trabajos acerca de solución de ecuaciones de tercer grado. Sin embargo, la regla de los signos ya era conocida previamente por los matemáticos de la India.
    (Historia Completa)..https://numerosentero.wordpress.com/historia/
  • Números Racionales
    1500

    Números Racionales

    Un numero racional es todo lo que se representa como el cociente de dos o mas números enteros,precisamente un entero y un natural positivo,es decir,una fracción común a/b con numerador a y denominador b distinto de cero.
    Un conjunto de números racionales puede construirse a partir de un conjunto de fracciones cuyo numerador y denominador son enteros.
  • Historia de los números Racionales(Definición)
    1500

    Historia de los números Racionales(Definición)

    En la cultura griega el 0 (cero) no era considerado un número puesto que no podía compararse con algo real, representaba la nada y la nada no existe por tanto lo tenían absolutamente anulado; a su vez, el 1 tampoco tenía carácter numeral pues era con el que se formaban el resto de los números y por ende no podía tomarse en cuenta de forma independiente.

Looking for a timeline maker?

Create timelines for projects, roadmaps, history, lessons, legal cases, and stories with Timetoast. Timetoast is a timeline maker for work, school, research, and stories.