La evaluación

  • EVALUACIÓN DE ENLACE

    EVALUACIÓN DE ENLACE

    En quinto año de primaria el profesor del grupo, nos presionó y amenazó tanto ates del examen, con tal de que aprobáramos, sin embargo, esto lejos de que nos ayudara, nos perjudicó.
  • EVALUACIÓN POR PROYECTO

    EVALUACIÓN POR PROYECTO

    En cuarto de primaria fue evaluada por proyectos ya que estuve incapacitada varias semanas, las cuales eran de exámenes finales la docente que impartía el grupo me dio la oportunidad de entregar diversos trabajos asimismo la oportunidad de pasar el año, puesto que consideró mi esfuerzo y dedicación que mostré.
  • EVALUACIÓN REPROBATORIA

    EVALUACIÓN REPROBATORIA

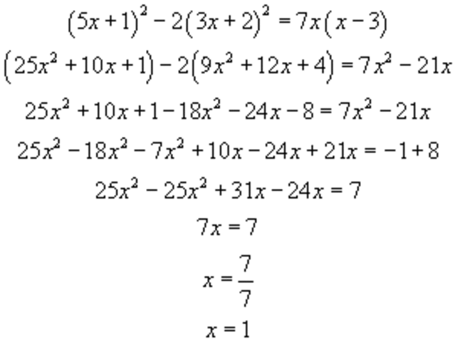
    Primera calificación reprobatoria de la materia de Matemáticas en primer grado del nivel académico Secundaria.
  • EVALUACIÓN COLECTIVA

    EVALUACIÓN COLECTIVA

    La manera en que se evalúa cada unidad no favorecía al Aprendizaje de los estudiantes ya que , elexamen se realizaba grupalmente es decir, habían muchas repeticiones de respuestas las cuales no eran comprendidas por algunos.
  • ERROR DE ESCRITURA

    ERROR DE ESCRITURA

    Fue durante el bachillerato el maestro de física me había reprobado ya que no había colocado una letra bien y es que yo hago la letra a como si fuera un 9 pero con la explicación que le di el maestro no me reprobó.
  • EVAUACIÓN DE INGLÉS EN CASA

    EVAUACIÓN DE INGLÉS EN CASA

    En el bachillerato el maestro de Inglés nos dictaba el examen y nos permitía resolverlo en casa.
  • EVALUACIÓN DENEGADA

    EVALUACIÓN DENEGADA

    Esto ocurrió en el quinto semestre del bachillerato el maestro de estadística no me permitió hacer el examen por no subir al tercer piso de la escuela pero él no comprendió que no lo podía hacer ya que tenía enyesado el pie por lo cual tuve que perder un año para así poder recuperar esa materia y continuar con mis estudios.
  • EXAMEN DE ADMISIÓN

    EXAMEN DE ADMISIÓN

    Experiencia negativa debido a que a pesar del porcentaje alto obtenido en el examen de admisión con relación a la Escuela Nomal Enrique Rebsamen no se logró ingresar a éste.

Looking for a timeline maker?

Create timelines for projects, roadmaps, history, lessons, legal cases, and stories with Timetoast. Timetoast is a timeline maker for work, school, research, and stories.