Geral

Computadores e Internet

  • Computador Z3

    Z3, construído pelos alemães, tinha como principal função a codificação de mensagens.
  • MARK I

    MARK I

    Construido por Howard Aiken, foi o primeiro computador electromecânico. O Mark I tinha 18 metros de comprimento, dois metros de largura e pesava 70 toneladas. Era constituído por 7milhões de peças móveis e a sua cablagem chegava aos 800 Km
  • ENIAC

    ENIAC

    John W. Mauchly e J. Prester Eckert Jr., e alguns cientistas da Universidade da Pensylvânia, construíram o primeiro computador electrónico, conhecido como ENIAC (Eletronic Numerical Integrator and Calculator). O ENIAC tinha aproximadamente 18 mil válvulas, pesava 30 toneladas e chegava a consumir 150 KW. Em contrapartida superava em mil a velocidade dos outros computadores, chegando a realizar 5 mil operações por segundo.
  • Period: to

    1ª Geração (utiização de Válvulas)

    Surgem os computadores de primeira geração. Faziam cálculos, com uma velocidade de milésimos de segundo, e eram programados em linguagem de máquina.
  • UNIVAC

    UNIVAC

    O Univac foi o primeiro computador comercializado. Projetado por J. Presper Ecker e John Mauchly, executava 1905 operações por segundo e seu preço era de aproximadamente 1 milhâo de dólares.
  • Primeiro computador da IBM

    Primeiro computador da IBM

    A Internation Business Machines lança o seu primeiro computador digital, o IBM 701. Como primeiro computador da marca comercializado, foram vendidas 19 máquinas em três anos.
  • ARPA

    ARPA

    A 4 de Outubro de 1957 a União Soviética lançou o Sputnik, primeiro satélite artificial da Terra, consequentemente, os Estados Unidos, em Fevereiro de 1958 criaram o Advanced Research Projects Agency (ARPA) dentro do Departamento de Defesa (DOD), com o objectivo de liderar no mundo, ao nível da ciência e da tecnologia militar-
  • Period: to

    2.ª Geração (utilização de Transistors)

    Surgem os computadores de segunda geração, os cálculos passaram a ser medidos de segundos para microssegundos. As linguagens utilizadas para esses computadores eram normalmente a FORTRAN, COBOL ou ALGOL.
  • Tabela ASCII

    No decorrer deste ano, a ASCII - American Standard Code for Information Interchange - permitiu que máquinas de diferentes fabricantes trocassem dados entre si.
  • Period: to

    3.ª Geração (Utilização de circuitos integrados)

    Os computadores passam a ter diversos componentes "miniaturizados" e montados num único CHIP, fazendo cálculos em nanossegundos, e desenvolvidos com uma linguagem de programação de alto nível
  • ARPANET

    ARPANET

    Surge o primeiro projecto da ARPANET, por Lawrence G. Roberts, MIT: "Towards a Cooperative Network of Time-Shared Computers".
    A ARPANET ou ARPANet foi, pode-se dizer, a "mãe" da Internet. Desenvolvida pela agência Americana ARPA (Advanced Research and Projects Agency - Agência de Pesquisas em Projetos Avançados) em 1969, tinha o objetivo de interligar as bases militares e os departamentos de pesquisa do governo americano. Esta rede teve o seu berço dentro do Pentágono e foi batizada com o nome d
  • UNIX

    UNIX

    No decorrer deste ano Programadores dos laboratórios AT&T Bell, Ken Thompson e Denis Richie desenvolvem o UNIX, o primeiro sistema operativo que poderia ser instalado em qualquer máquina. Ainda neste ano, o exército americano interligou as máquinas da Arpanet, formando a rede que originaria a Internet
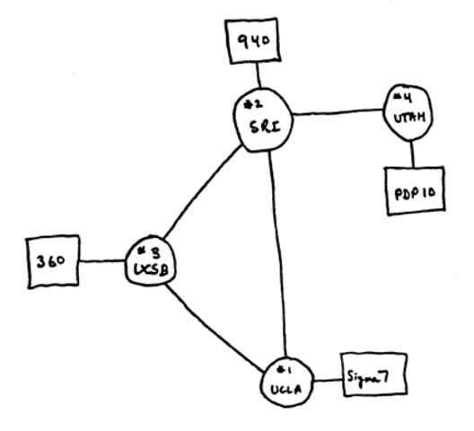
  • Arpanet de 4 nós

    Arpanet de 4 nós

    O projecto ARPANET começou a realizar pesquisas sobre redes, criando os seguintes nós:
    Nó 1: Universidade da Califórnia Los Angles( UCLA) , Diagrama da primeira conexão de host para IMP
    Nó 2: Stanford Research Institute (SRI)
    Nó 3: Universidade da Califórnia Santa Barbara (UCSB)
    Nó 4: Universidade de Utah , Diagrama da ARPAnet de quatro nós
    A Universidade de Michigan, o Estado de Michigan e a Wayne State University estabeleceram uma rede baseada em X.25
  • @ E-mail

    @ E-mail

    É inventado programa de e-mail para enviar mensagens através de rede distribuída. O programa original foi derivado de dois outros: um programa de e-mail intra-máquina (SENDMSG) e um programa experimental de transferência de arquivo (CPYNET)
    No ano de 1972 É modificado programa de e-mail para a ARPANET que se torna um grande sucesso. O sinal @ foi escolhido entre os sinais de pontuação
  • Microprocessador 8008

    Microprocessador 8008

    Lançamento do microprocessador Intel 8008.
    A Hewlett-Packard, HP, anunciou a HP-35 como "a mais rápida e precisa calculadora eletrônica" com uma memória solid-state semelhante à de um computador.
  • Ligações Internacionais à ARPANET

    Primeiras ligações internacionais à ARPANET: University College of London (Inglaterra) e NORSAR (Noruega)
  • Apple I

    Apple I

    Steve Wozniak projectou o Apple I, o primeiro computador single-board. The Cray I notabilizou-se como o primeiro processador vectorial comercial. Gary Kildall desenvolveu o CP/M, um sistema operativo para computadores pessoais.
  • Period: to

    Protocolo TCP/IP

    Foi durante este período que se adptou o protocolo tcp/ip à ARPANET(na qual se separaram os componentes que eram estritamente militares), sugindo assim a veradeira INTERNET
  • Period: to

    4.ª Geração (Circuitos de Larga Escala)

    O uso desses circuitos na construção de processadores representou outro salto na história dos computadores.
  • Computador com Interface gráfica

    O primeiro computador pessoal com interface gráfica foi desenvolvido pela Apple
  • Macintosh

    Macintosh

    A Apple Computer Corporation lançou o Macintosh, o primeiro computador com mouse e interface gráfica
  • INTERNET pública

    Em 1987 a Internet ficou acessível ao público, primeiro nos EUA a seguir na europa, depois no mundo inteiro.
  • Period: to

    5ª Geração (Ultra Large Scale Integration)

    Basicamente são os computadores modernos. Ampliou-se drasticamente a capacidade de processamento de dados, armazenamento e taxas de transferência.
  • Windows 3.0

    Windows 3.0

    A Microsoft anunciou o Windows 3.0, no dia 22 de Maio. Compatível com o DOS,
  • WWW

    WWW

    Com o aparecimento da Wold Wide Web (ou WWW, criada por Tim Berners no CERN – Laboratório Europeu de Física de Partículas), a Internet ganhou uma popularidade mundial e tornou-se conhecida pelo público em geral.
  • Linux

    Linux

    O núcleo do Linux (Linux Kernel) forma a estrutura base do sistema operativo GNU/Linux, que é um sistema operativo tipo unix. O núcleo do Linux é um dos exemplos mais proeminentes de software livre, pois podeservir de base para o desenvolvimento e execução de outros softwares livres.
  • Navigator

    Navigator

    O Netscape Navigator 2.0 é lançado. Foi o primeiro browser com suporte para JavaScript.
  • 600 milhões de utilizadores

    Cerca de 600milhões de pessoas a utilizam a Internet
  • Facebook

    Facebook

    A 4 de Fevereiro, os universitários Mark Zuckerberg, Eduardo Saverin e Dustin Moskovitz, criaram o Facebook, com o objetivo de colocar os estudantes da universidade de Harvard em rede. Entretanto, o projeto obteve enorme sucesso e expandiu-se para outras universidades e, finalmente, para qualquer utilizador em todo o mundo
  • YOUTUBE

    YOUTUBE

    A 15 de fevereiro foi criado o site de partilha de vídeos YouTube, por dois ex-funcionários do eBay, Steve Chen e Chad Hurley, (então, com 27 e 29 anos respectivamente) e Jawed Karim.
  • Web 2.0

    Web 2.0

    Tim O´Reilly, em setembro, publicou o artigo “O que é a Web 2.0”, definindo os conceitos de uma nova geração de internet.
  • Lançamento do Ipad em Portugal

    Lançamento do Ipad em Portugal

    O iPad da primeira geração foi lançado em Portugal no dia 30 de novembro de 2010, o lançamento do iPad 2 aconteceu em 25 de março de 2011 em Portugal e a 23 de março de 2012 foi lançado um novo iPad.

Looking for a timeline maker?

Create timelines for projects, roadmaps, history, lessons, legal cases, and stories with Timetoast. Timetoast is a timeline maker for work, school, research, and stories.