Business of New Media + Fantasty Sports

  • The U.S. government creates ARPA

    The United States government creates the Advanced Research Projects Agency (ARPA).
  • Fantasy Baseball is birthed by Bill Gamson.

    Fantasy Baseball is birthed by Bill Gamson.

    Bill Gamson, a Harvad grad student, develops the early concept of fantasy baseball as a way to distract him and his friends from their homework and studies. He originall called the game, "National Baseball Seminar" (web). Each member was given a $100,000 budget to "buy" players for their team and track the runs batted in, batting average, earned run average, and games won for their team over the season. source - https://www.timeline.com/stories/history-of-fantasy-sports
  • Fantasy Football is created in a New York City Hotel.

    Wilfred "Bill" Winkenbach (part owner of the Oakland Raiders), Bill Tunnell, and Scotty Sterling create the first rules for fantasy football while at the Milford Plaza Hotel. They called their league the Greater Oakland Professional Pigskin Prognosticators League, or GOPPPL. source - https://www.timeline.com/stories/history-of-fantasy-sports
  • Period: to

    Business of New Media

  • "Intergalactic Network"

    J.C.R. Licklider writes memos about his Intergalactic Network. A concept that computers would be networked and interconnected making information easily accessible from anywhere.
  • First Fantasy Football Draft held at Bill Wickenbacks home in Oakland.

    First Fantasy Football Draft held at Bill Wickenbacks home in Oakland.

    The Greater Oakland Professional Pigskin Prognosticators League (GOPPPL) has its first draft. The league had 8 team owners and they earned points based on their players performances, throughout the season. source - https://en.wikipedia.org/wiki/Fantasy_football_(American)
    image from http://www.toyotahalloffame.com/history
  • ARPAnet designing begins.

    'Lawrence Roberts leads ARPAnet design discussions and publishes first ARPAnet design paper: "Multiple Computer Networks and Intercomputer Communication." Wesley Clark suggests the network is managed by interconnected ‘Interface Message Processors’ in front of the major computers. Called IMPs, they evolve into today’s routers.'
  • First Public Fantasy Football League is held at Kings X sports bar in Oakland.

    Andy Mousalimas, an original member and creator of the GOPPL, has the first public fantasy football draft at his sports bar, Kings X.
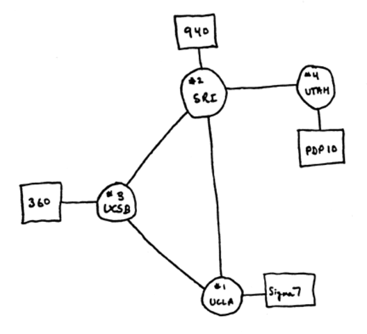
  • The IMP Network is born

    The IMP Network is born

    "The physical Interface Message Processor (IMP) network is constructed, linking four nodes: University of California at Los Angeles, SRI (in Stanford), University of California at Santa Barbara, and University of Utah." This allowed the school network to connect themselves to one another through the ARPANET.
  • Professor Peter Kirstein creates the European ARPAnet.

    Professor Peter Kirstein of University College London starts the first European ARPAnet node with transatlantic IP connectivity.
  • The first Internet Address registry is created.

    Jon Postel helps establish the first Internet address registry, that would later become the Internet Assigned Numbers Authority (IANA). "This administers IP addresses and other critical Internet functions."
  • An international ARPANET is established.

    The first international connection to the ARPAnet is made by University College of London (England).
  • TCP/IP Protocol starts to be developed.

    "The new protocol will allow diverse computer networks to interconnect and communicate with each other."
  • The term "Internet" is first used.

    "Vint Cerf and Robert Kahn publish 'A Protocol for Packet Network Interconnection' which specifies in detail the design of a Transmission Control Program (TCP) and coins the term 'Internet' for the first time."
  • CSNet is created by David Farber.

    David Farber creates the National Science Foundation’s Computer Science Network. By the beginning of 1981 CSNet has over 200 computers connected to its network through several school institutions.
  • The first IBM PC is release.

    The first IBM PC is release.

    the birth of the personal computer leads to it becoming the Time Magazine "Man of the Year" in 1982
  • The first e-mail is sent

    The first e-mail is sent

    The United States sends the first email to Germany, to Werner Zorn, a key player in establishing the Internet in Germany.
  • The first fantasy sports magazine publication is released in 1989

    The first fantasy sports magazine publication is released in 1989

    In 1989 “Fantasy Sports Magazine” becomes the first regularly published fantasy sports magazine and covered multiple fantasy sports. source - https://en.wikipedia.org/wiki/Fantasy_sport
  • Tim Berners-Lee creates the World Wide Web.

    Tim Berners-Lee creates the World Wide Web.

  • By September 1989, over one million americans play fantasy football.

    With football gaining popularity over the years people joined more leagues at bars or ones created by friends.
  • Brewster Kahle creates an Internet publishing system, WAIS

    WAIS (Wide Area Information Server), is created by Brewster Kahle. This is the start of some of the first Internet publishing systems, which are acknowledged to be some of the early precursors to search engines like google.
  • The World Wide Web opens to the Public.

  • The internet has connected itself to over 1 Million computers.

    The number of networks exceeds 7,500 and the number of computers connected passes 1,000,000.
  • The Internet Society is founded by Vint Cerf & Robert Kahn.

    "The Internet becomes such a part of the computing establishment that a professional society forms to guide it on its way. The Internet Society (ISOC), with Vint Cerf and Bob Kahn among its founders, validates the coming of age of inter-networking and its pervasive role in the lives of professionals in developed countries"
    -- http://www.computerhistory.org/internet_history/internet_history_90s.html
  • Links.Net is created by Justin Hall.

    Links.net was created by a Swarthmore college student named, Justin Hall, and the website served as an early form of blog.
  • Classmates.com is created to connect old high school friends.

    an early example of social media.
  • ScriptingNews is created, another early example of blogging

    Dave Winer creates his site ScriptingNews, which was used to post commentary and links, while sharing his input with the readers.
  • The term "weblog" is created.

    Online diarist Jorn Barger first uses the word, weblog. "The term was created to reflect the process of 'logging the web' as he browsed." - http://www.webdesignerdepot.com/2011/03/a-brief-history-of-blogging/
  • The first mainstream media source creates a blog.

    The Charlotte Observer creates a blog to document the occurences of Hurricane Bonnie.
  • Google was founded.

  • Fantasy Sports Trade Association is Founded.

    Fantasy Sports Trade Association is Founded.

    "At a Fantasy Insights Convention in 1998, a meeting was organized to again discuss legislative issues and other industry topics. Representatives from CDM, Fantasy Insights, EA Sports, The Sporting News, and USFANS created an official organization to help promote fantasy sports. The new Fantasy Sports Trade Association held its first official conference in 1999, and has now been serving the industry for the last 17 years." source - http://fsta.org/about/history-of-fsta/
  • LiveJournal is created.

    "LiveJournal" would eventual become "Blogger", but each site was ackowledged as some of the earlier platforms created specifically for blogging.
  • The word "Weblog" is shortened to "Blog"

    "Peter Merholz shortens 'Weblog' to 'blog.' "
  • Yahoo! offers the first fantasy football product online for free.

    Yahoo! offers the first fantasy football product online for free.

    Yahoo! choose to create this popular fantasy sports product and even today it is the leading provider for fantasy sports on the web. source - http://www.sandiegouniontribune.com/news/2014/jul/28/the-history-of-fantasy-football-cure/
  • Blogger is created

    "Pyro lags releases Blogger, the first popular, free blog-creation service. The founders would eventually launch Twitter." - http://wiredpen.com/resources/blogging/blogging-timeline/
  • BoingBoing is launched

    Boing Boing, was orginially a zine, that made its way to a blog format in January of 2000.
  • Wikipedia is created.

    Jimmy Wales launches Wikipedia. There are half a million Internet users. - http://www.internethalloffame.org/internet-history/timeline
  • An estimated 500,000 blogs exist at this time

  • Google Buys Blogger

    major internet search engine buys the blog platform, showing that blogs are becoming a major form of advertising .
  • Blogads, the first broker of blog advertising, is established.

  • Gawker is born.

    Gawker is born, creating the first major gossiping blog.
  • iTunes is Launched

    iTunes is Launched

    Apple creates iTunes as a new way for people to download music with ease and would eventually grow to be one of the biggest music retailers. http://www.cnn.com/2013/04/26/tech/web/itunes-10th-anniversary/
  • LinkedIn emerges.

    LinkedIn is created as a way for people to make professional connections across the internet.
  • MySpace.com, the popular teen social media outlet is made.

  • The Fantasy Sports Writers Association is founded.

    With the gaining popularity of fantasy sports the demand for writers with knowledge of the many fantasy sports became higher.
  • Mark Zuckerburg launches Facebook

    Acknowledged as now one of the most popular social media outlets in the world today, Facebook was born in Feb 2004. It connected the Harvard college students with one another and would quickly expand to hundreds of major colleges and then eventually all people. It now has over a billion monthly users in 2015.
  • Merriam-Webster declare "Blog" the word of the year.

    "During 2004 blogs, or web logs, have become hugely popular and some have started to influence mainstream media." - http://news.bbc.co.uk/2/hi/technology/4059291.stm
  • An estmated 32 million Americans read blogs.

    " In January of 2005, a study was released saying that 32 million Americans read blogs. At the time, it’s more than ten percent of the entire population. The same year, Garrett M. Graff was granted White House press credentials, the first blogger ever to do so." - http://www.webdesignerdepot.com/2011/03/a-brief-history-of-blogging/
  • Huffington Post launches their site.

    HuffingtonPost.com
  • Roughly 100 Million Dollars in Blog Ads are sold.

  • The Huffington Post becomes the 4th most linked to blog.

    "The Huffington Post, launched in 2005, becomes the fourth most-linked-to blog."
  • Tumblr is Launched

    Tumblr is Launched

  • Facebook beats out Google as the most visited site on the web

    Facebook traffic beats Google as the most visited site on the Internet.
  • Instagram is created.

    Instagram is created, a photo sharing app that currently generates over 75 million users a day. - http://expandedramblings.com/index.php/important-instagram-stats/
  • Mark Zuckerburg goes on to become the youngest billionaire!

    "Facebook CEO Mark Zuckerberg reaped a gain of nearly $2.3 billion last year when he exercised 60 million stock options just before the online social networking leader's initial public offering."
    -- http://www.huffingtonpost.com/2013/04/26/zuckerberg-stock-options_n_3166661.html He is currently worth over 37 Billion dollars in 2015. (Forbes)
  • iTunes has its 25 Billionth downloaded.

  • Over 21 Million Americans play fantasy football.

    Over 21 million people in the U.S. play fantasy football.
  • Apple Music is launched, Apples first music streaming service.

    Apple Music is launched, Apples first music streaming service.

    Apple music is created as a new service within iTunes to connect users fully with the itunes music library by paying a monthly fee for its streaming service.

Want to make a timeline like this?

Use Timetoast to turn dates, events, milestones, and phases into a clear visual timeline you can build and share. Timetoast is a timeline maker for work, school, research, and stories.