Images

internet history

  • DARPA

    DARPA

    Defense Advanced Research Projects Agency is an agency of the United States Department of Defense responsible for the development of emerging technologies for use by the military. visit site: https://www.darpa.mil/
  • Period: to

    internet history

    years in internet history
  • Leonard Kleinrock

    Leonard Kleinrock

    Leonard Kleinrock was a professor of computer science at UCLA.
  • J.C.R. Licklider

    J.C.R. Licklider

    J.C.R. Licklider wrote his own memos about his Intergalactic Network concept about computers and became the first head of the computer research program for ARPA.
  • ASCII Is Developed

    ASCII Is Developed

    ASCII permits machines from different manufacturers to exchange data.
  • Paul Baran, Donald Davies Develop Message Blocks/Packet-switching

    Paul Baran, Donald Davies Develop Message Blocks/Packet-switching

    The Rand Corporation's Paul Baran develops message blocks in the U.S., while Donald Watts Davies, at the National Physical Laboratory in Britain, simultaneously creates a similar technology called packet-switching. The technology revolutionizes data communications.
  • ARPA Sponsors Networking Study

    ARPA Sponsors Networking Study

    ARPA sponsors study on "cooperative network of time-sharing computers."
  • Lawrence Roberts Leads Networking Experiment

    Lawrence Roberts Leads Networking Experiment

    Building on the 1965 “Cooperative Network of Time-sharing Computers” study, MIT’s Lawrence Roberts comes to ARPA to conduct the networking experiment and develop the first ARPAnet plan ("Towards a Cooperative Network of Time-Shared Computers"). visit site:https://www.internethalloffame.org/internet-history/timeline
  • ARPAnet Project Initiated

    ARPAnet Project Initiated

    Directing ARPA’s computer research program, Robert Taylor initiates the ARPAnet project, the foundation for today’s Internet.
  • Charles Herzfeld Approves Funds for Computer Networking Experiment

    Charles Herzfeld Approves Funds for Computer Networking Experiment

    As ARPA director, Charles Herzfeld approves funding to develop a networking experiment that would tie together multiple universities funded by the agency. The result would be the ARPAnet, the first packet network and a predecessor to today’s Internet.
  • Danny Cohen Develops First Real-time Visual Flight Simulator

    Danny Cohen Develops First Real-time Visual Flight Simulator

    Danny Cohen develops the first real-time visual flight simulator on a general purpose computer and the first real-time radar simulator. His flight simulator work leads to the development of the Cohen-Sutherland computer graphics line clipping algorithms, created with Ivan Sutherland. visit site:https://www.internethalloffame.org/internet-history/timeline
  • Donald Davies Publishes First Packet-switching Paper

    Donald Davies Publishes First Packet-switching Paper

    Donald Watts Davies of the National Physical Laboratory in England publishes his paper on “packet-switching,” the term he coins.
  • ARPAnet Design Begins

    ARPAnet Design Begins

    Lawrence Roberts leads ARPAnet design discussions and publishes first ARPAnet design paper: "Multiple Computer Networks and Intercomputer Communication." Wesley Clark suggests the network is managed by interconnected ‘Interface Message Processors’ in front of the major computers. Called IMPs, they evolve into today’s routers.
  • Kennedy Congratulates BBN On ARPA Contract

    Kennedy Congratulates BBN On ARPA Contract

    US Senator Edward Kennedy sends BBN a congratulatory telegram on winning the ARPA contract to build the "Interfaith" Message Processors.
  • UCLA Develops ARPAnet Host Level Protocols

    UCLA Develops ARPAnet Host Level Protocols

    Steve Crocker heads UCLA Network Working Group under Professor Leonard Kleinrock to develop host level protocols for ARPAnet communication in preparation for becoming the first node. The group, which includes Vint Cerf and Jon Postel, lays the foundation for protocols of the modern Internet. visit site: https://www.internethalloffame.org/internet-history/timeline
  • UCLA Team Sends First Data Packets

    UCLA Team Sends First Data Packets

    The first data packets are sent between networked computers on October 29th by Charley Kline at UCLA, under supervision of Professor Leonard Kleinrock. The first attempt resulted in the system crashing as the letter G of “Login” was entered. The second attempt was successful.
  • Dr. Howard Frank

    Dr. Howard Frank

    co-writes the proposal that wins the contract to design the network structure for the ARPAnet. visit site:https://www.internethalloffame.org/internet-history/timeline
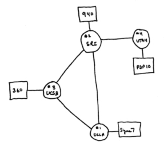
  • IMP Network Links First Four Nodes

    IMP Network Links First Four Nodes

    The physical Interface Message Processor (IMP) network is constructed, linking four nodes
  • Key Internet Protocols Implemented

    Key Internet Protocols Implemented

    Dr. David Clark implements Internet protocols for the Multics systems, the Xerox PARC ALTO and the IBM PC.
  • Peter Kirstein Starts European ARPAnet

    Peter Kirstein Starts European ARPAnet

    Professor Peter Kirstein of University College London starts the first European ARPAnet node with transatlantic IP connectivity.
  • Robert Kahn Demonstrates ARPAnet to Public

    Robert Kahn Demonstrates ARPAnet to Public

    Robert Kahn demonstrates the ARPAnet to the public for the first time by connecting 20 different computers at the International Computer Communication Conference, and in doing so, imparts the importance of packet-switching technology.
  • Jon Postel Helps Create First Internet Address Registry

    Jon Postel Helps Create First Internet Address Registry

    While at the Information Science Institute, Jon Postel helps create the first Internet address registry, which later becomes Internet Assigned Numbers Authority (IANA). This administers IP addresses and other critical Internet functions.
  • Louis Pouzin Leads CYCLADES Development

    Louis Pouzin Leads CYCLADES Development

    Louis Pouzin leads the French effort to build CYCLADES, France’s version of the ARPAnet.
  • Danny Cohen Pioneers Network Voice Protocol

    Danny Cohen Pioneers Network Voice Protocol

    Danny Cohen was the first to implement “packet video” and “packet voice” (Network Voice Protocol) when he adapted the visual flight simulator to run over the ARPANET in 1973. It was the first application of packet switching to real-time applications.
  • University College of London Establishes First International ARPAnet Link

    University College of London Establishes First International ARPAnet Link

    The first international connection to the ARPAnet is made by University College of London (England) via NORSAR (Norway).
  • TCP/IP Protocol Development Begins

    TCP/IP Protocol Development Begins

    Development begins on what will eventually be called TCP/IP protocol by a group headed by Vint Cerf (Stanford) and Robert Kahn (DARPA). The new protocol will allow diverse computer networks to interconnect and communicate with each other.
  • Bolt Beranek and Newman Founds Telenet

    Bolt Beranek and Newman Founds Telenet

    Lawrence Roberts helps Bolt Beranek and Newman (BBN) found Telenet, the first public packet data service, a commercial version of ARPAnet.

A list shows items. A timeline shows sequence.

Use Timetoast to make dates, milestones, and turning points easier to understand in a clear visual format. Timetoast is a timeline maker for work, school, research, and stories.