Klein bottle

AP Calculus Review - Bender

  • Integration

    Integration

    Today we went over how to intergate functions, way back from the beginning of the year. Blast from the past!
  • Differential Equations

    These are easy, just separate the variables and integrate
  • Infinite Series

    Infinite Series

    There are a lot of tests, so you just have to remember which to use. The integral test is definitely the worst. Geomatric and p-series are easy! And the ratio test is always useful
  • Taylow Polynomials

    Taylow Polynomials

    These are fun to see how they converge when you graph them all. The formula is easy to remember, but you have to be careful with your starting point when deriving or intergating.
  • Free Response

    Free Response

    Did free response today, worked with Emma. No problems
  • Multiple Choice

    Multiple Choice

    Multiple choice today, again with Emma. No calculator. A few confusing ones, but we were able to work them out together.
  • Free Response

    Free Response

    Worked on free response, no calculator today. Not bad, I just don't like finding Taylor polynomials because of the sucessive derivatives. The transformations of Taylor deriviatives are interesting, though.
  • Multiple Choice 2

    Multiple Choice 2

    Finished the second half of the multple choice today, no problems. Only some theory stuff was confusing
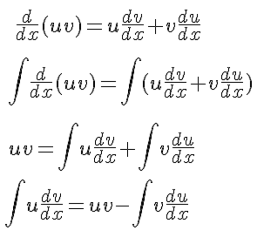
  • Integration by Parts and L'Hopital's Rule

    Integration by Parts and L'Hopital's Rule

    Went over integration by parts, which is very useful. Tabular method helps a lot, if your u goes to 0. LIPET also is helpful for choosing u. L'Hopital's rule is interesting as well, and easy to remember.
  • Wasn't here

    Wasn't here

    I had to present my internship portfolio for Mrs. Perrich, so I missed class today. I will get what I missed
  • Going over the test

    Going over the test

    We went over the test today. Emma and I did well, we got well above what is needed for a 5. Made some stupid mistakes, but I see where I went wrong.
  • Final Review

    Final Review

    This is my last day of school before the AP, so we just reviewed. I know everything, and I feel confident!
  • Computer Science AP

    Computer Science AP

    Wasn't in class today due to the Computer Science AP
  • GAMEDAY

    GAMEDAY

    GAMEDAY! Killed that AP, it was pretty easy, A good amount of it could have been done with only Calc AB knowledge.
  • English AP

    English AP

    Wasn't in class today due to the English AP
  • Starting the projects

    Starting the projects

    We got our projects today. I'm working with Becky and Graham, and we're doing fractals

A list shows items. A timeline shows sequence.

Use Timetoast to make dates, milestones, and turning points easier to understand in a clear visual format. Timetoast is a timeline maker for work, school, research, and stories.