Image 1

AP Calculus Prep Journal

  • Simple Integration

    Simple Integration

    To day in class we reviewed integration. At home I studied the different integration rules. Specifically trig and inverse trig integration rules. I also briefly reviewed integration by parts and trig substitution.
  • Euler's Method

    Euler's Method

    I refreshed My memory of Euler's Method by wathcing a youtube video. I knew how to do the chart, but the change in x was confusing. This video was a nice reminder of how to do Euler's method with different step sizes. https://www.youtube.com/watch?v=RTrbfQulZWA
  • Parametric Derivative

    Parametric Derivative

    Finding the velocity vector and acceleration vector given the positoin vector is very easy. If s(t) = <x(t) , y(t)> then v(t) = <x'(t) , y'(t)> and then you take the second derivative for the acceleration vector. But if you want to find dy/dx given the parametric exquation, you must divide y'(t)/x'(t). Finding the second derivative is trick because you take the derivative of dy/dx and divide that by x'(t).
  • Infinite Series

    Infinite Series

    Today I reviewed the convergence and divergence rules for infinite series. I used the back of the HW sheet as study material. Tomorrow I plan on revisiting the limits of convergence.
  • The Power Series

    The Power Series

    I spent time reviewing the power series like e^x ln(x) etc. The power series with the with patterns are useful for the AP.
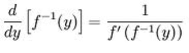
  • Inverse Derivative

    Inverse Derivative

    When I was doing the multiple choice I cam along one of these probelms. I can never remember the formula or how to derive it. They are so easy that it is worth reviewing for 5 minutes to get the extra point.
  • Basic Integration Rules

    Basic Integration Rules

    I think that I have already reviewed these, but I am not good at remembering formulas. I printed out a sheet and taped it to my bathroom wall. I read over the integration rules as I brush my teeth in the morning.
  • Arc Length

    Arc Length

    I very briefly looked aver all of the arclength formulas, functions, parametric, and polar to make sure that I knew the equations.
  • Polar

    Polar

    After today's test I figured out that I really need to study polar equations. I am going to look over everything from now until monday. ( the Weekend)

A list shows items. A timeline shows sequence.

Use Timetoast to make dates, milestones, and turning points easier to understand in a clear visual format. Timetoast is a timeline maker for work, school, research, and stories.