Ti

The Internet Timeline

By cag18
  • internet was created

    internet was created

    In the shadow of the USSR's launch of the Sputnik satellite, the Advanced Research Projects Agency (ARPA) was established to research and develop new technology for the United States military.
  • ARPA (Advanced Research Projects Agency)

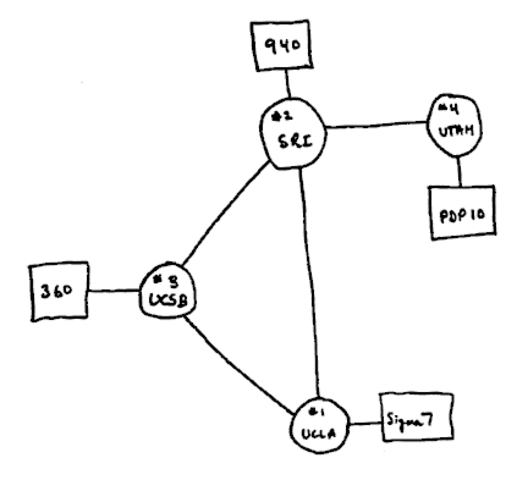
    ARPA (Advanced Research Projects Agency)

    ARPA goes online in December. It connects four major U.S universities. Designed for research, education, and government organizations.
  • Electronic mail is introduced

    Electronic mail is introduced

    Electronic mail is introduced by Ray Tomlinson, a Cambridge, Mass., computer scientist. The "@" sign is created to distinguish sender's name and network name in email andress. This can be used to hurt people make fun of them or find information about a persona and use it against them.
  • the word "internet' is used for the first time

    the word "internet' is used for the first time

    More people were starting to use the internet and learning how to use it, some people could use it to harm others.
  • Writer William Gibson coins the term “cyberspace.”

    Writer William Gibson coins the term “cyberspace.”

  • A virus called the Internet Worm temporarily shuts down about 10% of the world's Internet servers.

    A virus called the Internet Worm temporarily shuts down about 10% of the world's Internet servers.

    People start to take more care of their computers so they can prevent this.
  • Tim Berners-Lee of CERN (European Laboratory for Particle Physics) develops a new technique for distributing information on the Internet. He calls it the World Wide Web. The Web is based on hypertext, which permits the user to connect from one document to

    Tim Berners-Lee of CERN (European Laboratory for Particle Physics) develops a new technique for distributing information on the Internet. He calls it the World Wide Web. The Web is based on hypertext, which permits the user to connect from one document to

    Some of this hyperlinks aren't always safe.
  • Approximately 45 million people are using the Internet, with roughly 30 million of those in North America (United States and Canada), 9 million in Europe, and 6 million in Asia/Pacific (Australia, Japan, etc.). 43.2 million (44%) U.S. households own a per

    Approximately 45 million people are using the Internet, with roughly 30 million of those in North America (United States and Canada), 9 million in Europe, and 6 million in Asia/Pacific (Australia, Japan, etc.). 43.2 million (44%) U.S. households own a per

    People should be more careful because people can use the internet in bad ways to harm and make fun of others.
  • Facebook was created

    Facebook was created

    People use facebook to harass people. You can use the information on facebook to find out private things about people, and some people use the things they find out to harm others.
  • Google was created

    Google was created

    You can search people or certain things online, so now you have to be careful on what type of information you put on the internet.
  • The word cyberbulling was created

    The word cyberbulling was created

    Bill Belsey, a Canadian activist is believed to have ccreated the word cyberbullying.
  • As of January, 58.5% of the U.S. population (164.14 million people) uses the Internet. Worldwide there are 544.2 million users.

    As of January, 58.5% of the U.S. population (164.14 million people) uses the Internet. Worldwide there are 544.2 million users.

    Some people using the internet use it to harm others ot make fun of them, also they might use it in inappropriate ways.
  • It's estimated that Internet users illegally download about 2.6 billion music files each month.

    It's estimated that Internet users illegally download about 2.6 billion music files each month.

  • YouTube is launched

    YouTube is launched

    People post inapropriate things online, things that hurt or make fun of others in videos.
  • Twitter is created

    Twitter is created

    People can find out things about others and use this to harm them or make fun of them like facebook.
  • 92 million websites online

    92 million websites online

    Some of this websites are bad and others can be used to harm people, but not all of them are for bad purposes.
  • You can download music

    You can download music

    Makes things easier and faster, but some people start to download music illegaly.

A list shows items. A timeline shows sequence.

Use Timetoast to make dates, milestones, and turning points easier to understand in a clear visual format. Timetoast is a timeline maker for work, school, research, and stories.