Logan's History of the Internet Timeline

By lpettit
  • Advanced Research Project Agency (ARPA) Is Created

    Advanced Research Project Agency (ARPA) Is Created

    Found a way for computers to talk to each other in case of nuclear attacks
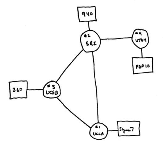
  • Computers at Stanford and UCLA connected for the first time

    The connection between UCLA and Stanford sparked the creation if the internet.
  • An Arpanet network was established

    An Arpanet network was established

    Harvard, MIT, and BBN were connected through Arpanet for the first time. Source
  • First E-Mail developed.

    First E-Mail developed.

    Ray Tomilson, the man who made the decision to use the "@" symbol to differentiate a username from a computer name.Source
  • TCP/IP was created

    TCP/IP was created

    TCP/IP was created to link Arpa-like networks together so they can be called the "Inter-Network" which would have no central control and would work around a transmission protocol.
  • First Personal Computer Modem

    First Personal Computer Modem

    The first commercially available Personal Computer Modem was created by two people named Dennis Hayes and Dale Heatherington. Their initial idea was to sell it to hobbyists. Source
  • Spam Was Created

    Spam Was Created

    The first unsolicited email was sent by Gary Thuerk to 600 Arpanet users in California. Source
  • Earliest Multiplayer Game Was Produced

    Earliest Multiplayer Game Was Produced

    The predecessor of World of Warcraft and Second Life was made in 1979, and was designated a "MUD" (MultiUser Dungeon) and was entirely text based. Source
  • First Emoticon :-)

    First Emoticon :-)

    The first Emoticon was made by Scott Fahlman in 1980 proposed using :-) after a joke instead of -). Source
  • First DNS (Domain Name System)

    First DNS (Domain Name System)

    The first DNS was made to make typing Internet Addresses easier and more human friendly. Source
  • World Wide Web Protocols Finished

    World Wide Web Protocols Finished

    Tim Berners-Lee wrote the code for HTML, HTTP, and URL's.Source
  • First Web Page Created

    First Web Page Created

    The first web page ran on a NeXT computer at the European Organization for Nuclear Research, CERN. Source
  • Amazon Is Created

    Amazon Is Created

    One of the worlds largest internet distributors of goods is crated
  • Netflix Is Created

    Netflix Is Created

    Company founded in August of 1997 was created to bring movies from the internet to be mailed to your house.
  • Google Is Created

    Google Is Created

    Google, worlds largest search engine, is created.Source
  • Skype Is Created

    Skype Is Created

    Yet another website made in August allows you to talk to people from anywhere on earth over the computer Source
  • Steampowered Beta Became Available

    Steampowered Beta Became Available

    Steam, a video game application made by Valve, came online on September 12, 2003 and gave average people access to the newest hit games. Source
  • Anonymous is Formed

    Anonymous is Formed

    Anonymous, a widespread hacker organization is formed with the purpose of being anti-cyber-survaillance, anti-cyber-censorship, and to be an anarchic digitized global brain.
  • Youtube is created

    Youtube is created

    Youtube is created making it easy to view videos on the internet.Source
  • Edward Snowden Leaks Classified Info

    Edward Snowden Leaks Classified Info

    In 2013 Edward Snowden, who worked for the NSA at the time, leaked thousands of classified files to the internet and was charged for Theft of government property, unauthorized communication of national defense information, and willful communication of classified intelligence to an unauthorized person.
  • Arma 3 Released

    Arma 3 Released

    The award winning Arma series released their most successful game to date, revolutionizing the Mil sim game market.Source
  • Battlefield 1 Release

    Battlefield 1 Release

    Long awaited Battlefield 1 released.Source

A list shows items. A timeline shows sequence.

Use Timetoast to make dates, milestones, and turning points easier to understand in a clear visual format. Timetoast is a timeline maker for work, school, research, and stories.