Dna e1573518709510

LA SCOPERTA DEL DNA-Beatrice Piccinetti

  • nucleina

    nucleina

    Viene scoperto che nel nucleo della cellula c'è la nucleina
  • Period: to

    SCOPERTA DNA

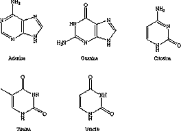
  • nucleotide

    nucleotide

    si scopre la struttura del nucleotide ma facendo un errore
  • esperimento

    si fece un esperimento per capire se il DNA fosse la causa della trasmissione dei caratteri ereditari
  • Franklin

    Franklin

    Franklin studia il DNA ai raggi X e Walkins (suo collega ) da i risultati trovati fin ora a Watson e Crick
  • foto 51

    foto 51

    Franklin fa la foto più importante della storia al DNA, chiamata Foto 51 in cui si vedeva la struttura a doppia elica.
    Walkins la da a Watson e Crick che se ne presero il merito e Franklin morì senza mai saperlo.
  • Watson e Crick

    Watson e Crick

    Watson e Crick iniziarono a cercare la struttura del DNA
  • nobel

    nobel

    Watson e Crick presero il Nobel per questa scoperta dividendone il merito con Walkins

Plan projects on a visual timeline

Map milestones, phases, deadlines, and key events in one place so the sequence is easier to see and share. Timetoast is a timeline maker for work, school, research, and stories.