Kelly Byrne's History of the Internet Timeline

  • Computers at Stanford and UCLA connected for the first time

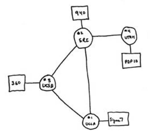
    Computers at Stanford and UCLA connected for the first time

    The first hosts on what would one day become the Internet.
  • An Arpanet network was established

    An Arpanet network was established

    Network between Harvard, MIT, and BBN (the company that created the
    "interface message processor" (computers used to connect to the network) in 1970 was created.
  • Email was first developed

    Email was first developed

    Developed by Ray Tomlinson, who also made the decision to use the "@" symbol to separate
    the user name from the computer name (which later on became the domain name)
  • The term 'meme' is first used

    The term 'meme' is first used

    The term 'meme' is first used Richard Dawkins said it in his book 'The Selfish Game" he derives the term from the Greek word 'mimeme' meaning 'something copied' and the French word même meaning 'same' or 'alike'
  • The first Personal Computer Modem is Invented

    The first Personal Computer Modem is Invented

    The modem was invented by Dennis Hayes and Dale Heatherington,
    and was introduced and initially sold to computer hobbyists.
  • Spam is born

    Spam is born

    The first unsolicited commercial email message(later known as spam), was sent out to 600 California
    Arpanet users by Gary Thuerk.
  • MUD – The earliest form of multiplayer games was debuted

    MUD – The earliest form of multiplayer games was debuted

    The precursor to World of Warcraft and Second Life was
    developed in 1979, and was called MUD (short for MultiUser Dungeon). MUDs were entirely text-based virtual worlds, combining
    elements of role-playing games, interactive, fiction, and online chat.
  • The first emoticon :-)

    The first emoticon :-)

    The first emoticon was used While many people credit Kevin MacKenzie with the invention of
    the emoticon in 1979, it was Scott Fahlman in 1982 who proposed using :-) after a joke, rather than the original -) proposed by
    MacKenzie.
  • The domain name system was created

    The domain name system was created

    The first Domain Name Servers (DNS) was created. The domain name system
    was important in that it made addresses on the Internet more human-friendly compared to its numerical IP address counterparts.
    DNS servers allowed Internet users to type in an easy-to-remember domain name and then converted it to the IP address
    automatically.
  • World Wide Web protocols finished

    World Wide Web protocols finished

    The code for the World Wide Web was written by Tim Berners-Lee, based on his
    proposal from the year before, along with the standards for HTML, HTTP, and URLs.
  • First web page created 1991

    First web page created 1991

    brought some major innovations to the world of the Internet. The first web page was created
    and, much like the first email explained what email was, its purpose was to explain what the World Wide Web was.
  • Amazon is created

    Amazon is created

    Amazon is created Amazon basically invented a new form of selling things- by doing it online. Where would we be without it?
  • Deviantart is created

    Deviantart is created

    Deviantart is createdDeviantart is the most popular website for up and coming artists today. It's a great place for anyone to post anything art related and meet other people interested in similar things as you.
  • Facebook is founded

    Facebook is founded

    Facebook is foundedFacebook, one of the most popular social media sites out there, is founded.
  • Number of internet viewers reaches 1 billion

    Number of internet viewers reaches 1 billion

    Number of internet viewers reaches 1 billion The popularity of the internet reached 1 billion people; that's 15.8% of the entire Earth's population!
  • The first youtube video is uploaded

    The first youtube video is uploaded

    The first youtube video is uploaded The first youtube video was uploaded by Jawid Karim and was titled, 'Me at the zoo'
  • Etsy is founded

    Etsy is founded

    Etsy is founded Etsy created a quick and easy way for artists to sell their work and make money doing the things they love. On the other hand, fans of things that may not have much merchandise can buy handmade merch you can't get anywhere else.
  • Game Grumps create a youtube account

    Game Grumps create a youtube account

    Game Grumps create a youtube accountWith 2 and a half million subscribers and counting, Arin Hansen and Dan Avidan are one of the most subscribed to youtube channels out there. Every day they upload funny videos of them playing games multiple times a day. Not to mention, if you combine the views of all their current videos they have over 1 and a half billion views.
  • Gangnam Style becomes the first youtube video to reach 1 billion views

    Gangnam Style becomes the first youtube video to reach 1 billion views

    Gangnam Style reaches 1 billion viewsKorean singer PSY's song Gangnam Style quickly became a pop culture phenomenon during summer 2012. By December of that year, the music video and the iconic dance reached 1 billion views.
  • The first trailer for Pokemon X and Y is uploaded to youtube

    The first trailer for Pokemon X and Y is uploaded to youtube

    The first trailer for Pokemon X and Y is uploaded to youtube Pokemon is one of the most popular video game franchises out there, and in January of 2013 Nintendo revealed that they were making a brand new, 3d pokemon game via youtube video. Personally, I still remember the day vividly and even had the date memorized. It was a very important day for Pokemon fans old and new.
  • Youtube surpasses Facebook as the most visited social network

    Youtube surpasses Facebook as the most visited social network

    Youtube surpasses Facebook as the most visited social networkThough many might not think of it as one, youtube is a social network because you can follow others, comment, and create content. Anyway, youtube has overall become more popular than facebook, in many ways because even people without accounts can view the content.
  • 1 billion people are on facebook

    1 billion people are on facebook

    1 billion people are on facebook Facebook has become one of the most widely used social media site ever. Recently, it surpassed 1 billion people using it. This means that 1 in 7 people use facebook!

Looking for a timeline maker?

Create timelines for projects, roadmaps, history, lessons, legal cases, and stories with Timetoast. Timetoast is a timeline maker for work, school, research, and stories.