hinternet history timeline

  • Advanced Research Projects Agency (ARPA) is created

    Advanced Research Projects Agency (ARPA) is created

    Found a way that computers can talk to each other in case of
    nuclear attack.
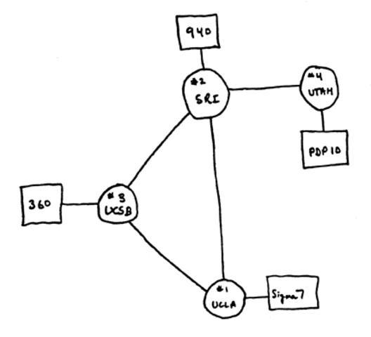
  • computers at Stanford and UCLA connected for the first time

    computers at Stanford and UCLA connected for the first time

    The first hosts on what would one day
    become the Internet.
  • An Arpanet network was established

    An Arpanet network was established

    Network between Harvard, MIT, and BBN (the company that created the
    "interface message processor" computers used to connect to the network) in 1970 was created.
  • Email was first developed

    Email was first developed

    Developed by Ray Tomlinson, who also made the decision to use the "@" symbol to separate
    the user name from the computer name (which later on became the domain name)
  • The beginning of TCP/IP

    The beginning of TCP/IP

    A proposal was published to link Arpa-like networks together into a so-called "inter-network",
    which would have no central control and would work around a transmission control protocol (which eventually became TCP/IP).
  • Apple.com Was Created

    Apple.com Was Created

    appleApple Inc. (NASDAQ: AAPL; formerly Apple Computer, Inc.) is an American multinational corporation that designs and sells consumer electronics, computer software, and personal computers. The company's best-known hardware products are the Macintosh line of computers, the iPod, the iPhone and the iPad. Its software includes the OS X and iOS operating system; the iTunes media browser; and the iLife and iWork creativity and production suites. Apple is the world's third-largest mobile phone maker afte
  • The first Personal Computer Modem is Invented

    The first Personal Computer Modem is Invented

    The modem was invented by Dennis Hayes and Dale Heatherington,
    and was introduced and initially sold to computer hobbyists.
  • Spam is born

    Spam is born

    The first unsolicited commercial email message(later known as spam), was sent out to 600 California
    Arpanet users by Gary Thuerk.
  • MUD – The earliest form of multiplayer games was debuted

    MUD – The earliest form of multiplayer games was debuted

    The precursor to World of Warcraft and Second Life was
    developed in 1979, and was called MUD (short for MultiUser Dungeon). MUDs were entirely text-based virtual worlds, combining
    elements of role-playing games, interactive, fiction, and online chat.
  • The first emoticon :-)

    The first emoticon :-)

    The first emoticon was used While many people credit Kevin MacKenzie with the invention of
    the emoticon in 1979, it was Scott Fahlman in 1982 who proposed using :-) after a joke, rather than the original -) proposed by
    MacKenzie.
  • The domain name system was created

    The domain name system was created

    The first Domain Name Servers (DNS) was created. The domain name system
    was important in that it made addresses on the Internet more human-friendly compared to its numerical IP address counterparts.
    DNS servers allowed Internet users to type in an easy-to-remember domain name and then converted it to the IP address
    automatically.
  • World Wide Web protocols finished

    World Wide Web protocols finished

    The code for the World Wide Web was written by Tim Berners-Lee, based on his
    proposal from the year before, along with the standards for HTML, HTTP, and URLs.
  • Razer was made

    Razer was made

    razerrazer is a world wide gaming company making any gaming accesories and concols. razer was made in the late 1990's
  • First web page created 1991

    First web page created 1991

    brought some major innovations to the world of the Internet. The first web page was created
    and, much like the first email explained what email was, its purpose was to explain what the World Wide Web was.
  • Creation of Amazon

    Creation of Amazon

    amazonJeff Bezos created amazon in 1994 but the official site was published in 1995
  • The Formal Launch of Wikipedia

    The Formal Launch of Wikipedia

    Wikipediawikipedia was formally launched on 15 January 2001 and is not trusted by Mr. Rotindo
  • Steam was Made

    Steam was Made

    steamsteam, made by Valve, is an online game directory and As of August 2012, there are over 1500 games available through Steam,[5] and 54 million active user accounts.
  • Facebook was published

    Facebook was published

    facebookFacebook is a social networking service launched in February 2004, Facebook was made by Mark Zuckerberg and his colligues Eduardo Saverin Andrew McCollum Dustin Moskovitz Chris Hughes
  • youtube was born

    youtube was born

    youtube
    youtube was created and published in febuary of 2005. it has now in 2012 exploded into an extreamily large social media network
  • android market was made

    android market was made

    android marketthe android market is only available on the android smartphones and is a competetor of apple and their markets.
  • Itunes was released

    Itunes was released

    itunesiTunes is a media player computer program used for playing, downloading, saving, and organizing digital music and video files on desktop or laptop personal computers. It can also manage contents on iPod, iPhone, iPod Touch and iPad devices
  • Bing Was made

    Bing Was made

    bingBing (formerly Live Search, Windows Live Search, and MSN Search) is a web search engine (advertised as a "decision engine"[2]) from Microsoft.

Looking for a timeline maker?

Create timelines for projects, roadmaps, history, lessons, legal cases, and stories with Timetoast. Timetoast is a timeline maker for work, school, research, and stories.