LA SCOPERTA DEL DNA

  • FRIEDRICH MIESCHER

    FRIEDRICH MIESCHER

    scopre la nucleina isolando i globuli bianchi contenuti nel pus delle ferite grazie ad una soluzione alcalina basica ottenendo le cellule sul fondo del becher
  • PHOEBUS LEVENE

    PHOEBUS LEVENE

    scopre proteine contenute nella nucleina
  • TEORIA TETRANUCLEOTIDICA

    TEORIA TETRANUCLEOTIDICA

    molecola di DNA formata da 4 diverse unità chiamate nucleotidi, che si ripetono n volte. Ogni nucleotide è formato da 3 elementi: fosfato,zucchero desossiribosio,base azotata
  • DNA = polimero

    DNA era una molecola più grande di quanto si pensava, a questo punto era più logico pensare che il DNA fosse un polimero, una lunga catena formata dalla ripetizione dei tetranucleotidi, così però era difficile dimostrare che la molecola di DNA era intelligente,ovvero che trasmetteva caratteri genetici
  • ERWIN CHARAFF

    ERWIN CHARAFF

    misura la quantità di basi azotate presenti in diversi DNA (c'erano più adenina e guanina rispetto alla timina e alla citosina), in questo modo smentisce la teoria di Levine
  • JAMES WATSON & FRANCIS CRICK

    JAMES WATSON & FRANCIS CRICK

    primo modello accurato della molecola di DNA
    era formato da unità di : zucchero+fosfato+base azotata (adenina,timina,guanina o citosina) che si ripetevano n volte
  • LINUS PAULING

    LINUS PAULING

    usa la tecnica della cristalografia a raggi x per scoprire la vera struttura del DNA, ad alfa-elica
  • ROSALIND FRANKLIN & MAURICE WILKINS

    ROSALIND FRANKLIN & MAURICE WILKINS

    si concentrano sull'immagine a raggi x e scoprono la struttura a doppia elica e le sue dimensioni,diametro e con il gruppo fosfato all'esterno (perchè se fosse stato all'interno dell'elica,come si era pensato,le cariche negative del gruppo fosfato si sarebbero respinte e la strutture del DNA non sarebbe stata uniforme)
  • WATSON & CRICK

    WATSON & CRICK

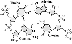
    scoprono l'accoppiamento delle basi azotate attraverso dei modellini di carta e arrivano alla conclusione che l'adenina si lega alla timina e che la guanina si lega con la citosina, tutto questo attraverso legami a H
  • WATSON & CRICK

    WATSON & CRICK

    si scoprì inoltre che l'adenina e la timina sonolegate da 2 legami a idrogeno, mentre la guanina e la citosina da 3 legami a idrogeno
  • Watson,Crick,Francis,Wilkins e Franklin

    Watson,Crick,Francis,Wilkins e Franklin

    costruendo un modellino 3d di metallo scoprirono inoltre che le eliche erano antiparallele (si muovono in direzione 3'-5' e 5'-3')
  • 25 Aprile 1953 WATSON & CRICK

    25 Aprile 1953 WATSON & CRICK

    pubblicano un testo di 900 parole che spiegava la struttura del DNA
  • KARY MULLIS --> PCR

    KARY MULLIS --> PCR

    scopre la reazione a catena della polimerasi ( o PCR ), una tecnica che ha rivoluzionato le analisi del DNA.
    consiste in variazioni di temperature molro veloci che causano l'apertura della doppia elica del DNA, la sintesi di nuovi filamenti di DNA grazie a dei primer e la chiusura di questi nuovi filamenti, quest'operazine ripetuta miliardi di volte fino a creare centinaia di cloni di un frammento/segmanto di DNA che si vuole replicare

Looking for a timeline maker?

Create timelines for projects, roadmaps, history, lessons, legal cases, and stories with Timetoast. Timetoast is a timeline maker for work, school, research, and stories.