Évolution des plastiques et des métaux

  • Nitrate de cellulose

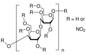
    Nitrate de cellulose

    PLASTIQUE.Le nitrate de cellulose est produit par Christian Schoönbein en 1845. Un mélange d'acide nitrique et d'acide sulfurique est ajouté à la cellulose sous l'une des diverses formes.Il a été utilisé pour la première fois pour la fabrication de films photographiques en 1889 par la société Eastman Kodak.
  • Acier Bessemer

    Acier Bessemer

    METALLURGIE.Le procédé Bessemer a été le premier procédé industriel peu coûteux pour la production de masse d'acier à partir de fonte fondue avant le développement du four à sole ouverte.Le principe clé est l'élimination des impuretés du fer par oxydation avec de l'air soufflé à travers la fonte fondue. Des problèmes de qualité, tels que la fragilité causée par l'azote dans l'air soufflé, ont empêché l'utilisation de l'acier Bessemer pour de nombreuses applications structurelles.
  • Le celluloïd Heyatt

    Le celluloïd Heyatt

    PLASTIQUE.Le celluloïd est le nom donné à une matière composée essentiellement de nitrate de cellulose et de camphre. Il est considéré comme la toute première matière plastique et son origine remonte à 1856 par Hyatt.
  • Viaduc de Gabarit en fer, Eiffel

    Viaduc de Gabarit en fer, Eiffel

    METALLURGIE.Le viaduc de Garabit se compose d'un tablier métallique long de 554,69 m supportant une voie ferrée unique, reposant sur sept piles en fer puddlé de hauteur variable , dont cinq piles indépendantes reposant sur des blocs de fondations en maçonneries de moellons.
  • Aluminium par électrolyse

    Aluminium par électrolyse

    METALLURGIE.La production de l'aluminium par électrolyse est le procédé qui permet de fabriquer le métal aluminium à partir de l'alumine extraite de la bauxite.Le procédé a été inventé simultanément par Paul Héroult en France et Charles Martin Hall aux États-Unis en 1886. inconvénient : Les problèmes environnementaux induits par le dégagement massif de CO2.
  • La cellophane Branderberger

    La cellophane Branderberger

    PLASTIQUE.Inventé en 1908, le cellophane est né de la volonté du chimiste suisse Jacques Brandenberger de créer un film transparent, flexible et imperméable pouvant être appliqué sur un tissu. L'entreprise de confiserie de Whitman utilisait déjà la cellophane comme emballage pour sa gamme de chocolats haut de gamme.
  • Bakelit Baekeland

    Bakelit Baekeland

    PLASTIQUE.La bakélite est un matériau nommé générique basé sur la résine thermodurcissable phénol formaldéhyde polyoxybenzylméthylenglycolanhydride, développée en 1907-1909 par le Dr Leo Baekeland.C'était le premier plastique fabriqué à partir de polymères synthétiques.Il est utilisé pour fabriquer des interrupteurs et autres appareils électriques.
  • PVC, Klatte

    PVC, Klatte

    PLASTIQUE.Le polychlorure est le troisième polymère plastique synthétique le plus produit au monde, après le polyéthylène et le polypropylène.Personne ne maîtrisait réellement l'utilisation du PVC dans les applications commerciales jusqu'en 1913, lorsqu'un inventeur allemand du nom de Friedrich Heinrich August Klatte décida de déposer le premier brevet sur le matériau.
  • Plexiglas,Baker et Skinner

    Plexiglas,Baker et Skinner

    PLASTIQUE.La feuille acrylique de plexiglas est un matériau clair cristallin , un matériau léger ayant une excellente résistance aux intempéries, une résistance élevée aux chocs, une bonne résistance chimique et une excellente thermoformabilité et usinabilité.
  • Polyamide, Carithers

    Polyamide, Carithers

    PLASTIQUE.L'olyamide est un polymère synthétique fabriqué à partir de plastiques à base de pétrole. Il est composé de molécules extrêmement longues et lourdes avec des unités répétitives liées par des liaisons amide. Le polyamide a été l'un des premiers tissus synthétiques découverts avant la première guerre mondiale. La société chimique américaine DuPont a produit des polyamides pour la première fois en 1938.
  • Le teflon

    Le teflon

    PLASTIQUE.Le téflon a été découvert en avril 1938 par le chimiste Roy Plunkett. Thermostable, avec une grande inertie chimique et un pouvoir antiadhésif, il a été découvert par hasard par Plunkett alors qu'il travaillait sur la mise au point d'un nouveau réfrigérant en refroidissant dans de la neige carbonique un gaz, du tétrafluoroéthylène. Il est couramment utilisé comme revêtement antiadhésif pour les casseroles.
  • Polyéthylėne ,fawcett et Gobsan

    Polyéthylėne ,fawcett et Gobsan

    PLASTIQUE.Eric Fawcett et Reginald Gibson ont découvert la polymérisation de l'éthylène le 24 mars 1933 à l'Imperial Chemical Industries (ICI), Northwich, Angleterre. Il s'agissait de la première synthèse de polyéthylène industriellement pratique.
  • Fibres optique Narinders, Kapony

    Fibres optique Narinders, Kapony

    PLASTIQUE.Une fibre optique (ou fibre en anglais britannique) est une fibre flexible et transparente fabriquée en étirant du verre (silice) ou du plastique à un diamètre légèrement plus épais que celui d'un cheveu humain.
  • Polyphatalamine (un superpolyamide)

    Polyphatalamine (un superpolyamide)

    PLASTIQUE.Le polyphtalamide est un thermoplastique qui répond bien au traitement au plasma gazeux. Le traitement de surface au plasma gazeux résout ce problème en augmentant les énergies de surface du polyphtalamide.Le PPA est un polymère d'ingénierie de pointe offert pour la première fois dans le commerce en 1991 par Amoco Chemical Co

A list shows items. A timeline shows sequence.

Use Timetoast to make dates, milestones, and turning points easier to understand in a clear visual format. Timetoast is a timeline maker for work, school, research, and stories.