Química.

El desarrollo de la quimica

  • Alquimia
    1900 BCE

    Alquimia

    Hermes Trismegisto, funda el arte de la alquimia.
  • Los cuatro elementos primarios
    450 BCE

    Los cuatro elementos primarios

    Empédocles afirma que todas las cosas se componen de cuatro elementos primarios: tierra, aire, fuego y agua
  • Atomo
    440 BCE

    Atomo

    Leucipo y Demócrito proponen la idea del átomo
  • teoría de los cinco elementos
    350 BCE

    teoría de los cinco elementos

    Aristóteles, publica la «teoría de los cinco elementos» (fuego, agua, tierra, aire y éter)
  • Quimica
    Dec 24, 1530

    Quimica

    El suizo Paracelso es el primero en utilizar el término «química».
  • el método científico.

    Francis Bacon publica The Proficience and Advancement of Learning, que contiene una descripción de el método científico.
  • primera ecuación química de la Historia.

    primera ecuación química de la Historia.

    Jean Beguin , redacta la primera ecuación química de la Historia.
  • Química moderna.

    Robert Boyle primeras nociones sobre los átomos, las moléculas y las reacciones químicas, con lo que marca el inicio de la historia de la química moderna.
  • Ley de Boyle

    Ley de Boyle

    Robert Boyle propone la ley de Boyle sobre el comportamiento de los gases, específicamente sobre la relación entre la presión y el volumen.
  • Concepto de calor latente

    Concepto de calor latente

    Joseph Black formula el concepto de calor latente para explicar la termoquímica de cambios de estado.
  • Se identifica y nombra al oxígeno

    Se identifica y nombra al oxígeno

    El francés Antoine Lavoisier identifica y nombra al oxígeno, reconoce su importancia y participación en el proceso de la combustión
  • Antoine Lavoisier

    Antoine Lavoisier

    Antoine Lavoisier es considerado como «el padre de la química moderna».
  • Ley de las proporciones constantes.

    Ley de las proporciones constantes.

    Joseph Proust propone la ley de las proporciones constantes, los elementos siempre se combinan en proporciones pequeñas y enteras para formar compuestos.
  • nace la electroquímica.

    nace la electroquímica.

    Alessandro Volta elabora la primera batería química, con lo que nace la electroquímica.
  • la ley de Avogadro

    la ley de Avogadro

    El italiano Amedeo Avogadro propone la ley de Avogadro, en la que afirma que volúmenes iguales de gases a temperatura y presión constantes contienen el mismo número de moléculas.
  • Cristalografia y asimetria molecular

    Cristalografia y asimetria molecular

  • El concepto de cero absoluto

    El concepto de cero absoluto

    Lord Kelvin establece el concepto de cero absoluto, que es la temperatura a la cual todo movimiento molecular se detiene.
  • la ley de Beer

    la ley de Beer

    August Beer propone la ley de Beer, que explica la relación entre la composición de una mezcla y la cantidad de luz que esta absorbe.
  • tetramoticidad del carbono

    tetramoticidad del carbono

    Kekule afirma la tetramoticidad del carbono
  • Fermentaciones y generacion espontanea

    Fermentaciones y generacion espontanea

  • Enfermedades del gusano de seda

    Enfermedades del gusano de seda

  • tabla periódica moderna

    tabla periódica moderna

    Dmitri Mendeléyev publica la primera tabla periódica moderna, con los 66 elementos conocidos hasta entonces organizados por sus pesos atómicos.
  • Estudios sobre la cerveza

    Estudios sobre la cerveza

  • Enfermedades infecciosas

  • descubrimiento de los gases nobles

    descubrimiento de los gases nobles

    William Ramsay descubre los gases nobles, que llenan un gran vacío inesperado en la tabla periódica y conducen a la creación de los modelos basados en enlaces químicos
  • modelo nuclear del átomo

    modelo nuclear del átomo

    Hantarō Nagaoka propone un modelo nuclear del átomo, donde los electrones giran en órbitas alrededor de un núcleo denso masivo.
  • el modelo atómico de Bohr

    el modelo atómico de Bohr

    1913 Niels Bohr , el modelo atómico de Bohr, donde los electrones sólo existen en orbitales estrictamente definidos.
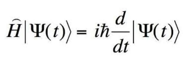
  • ecuación de Schrödinger

    ecuación de Schrödinger

    Erwin Schrödinger propone la ecuación de Schrödinger, que proporciona una base matemática para el modelo de onda de la estructura atómica.
  • el principio de incertidumbre

    el principio de incertidumbre

    Werner Heisenberg desarrolla el principio de incertidumbre
  • James Chadwick descubre el neutrón

    James Chadwick descubre el neutrón

  • Pauling y Robert Mulliken cuantifican la electronegatividad

    Pauling y Robert Mulliken cuantifican la electronegatividad

A list shows items. A timeline shows sequence.

Use Timetoast to make dates, milestones, and turning points easier to understand in a clear visual format. Timetoast is a timeline maker for work, school, research, and stories.