Ecit8ltvvs8ahpowca6xzwmszaha9lh1di5tdixhcahgdxorsklzdfbiypcgn2vt

History of the Internet

  • Period: to

    History of the Interent

  • J.C.R. Licklider Conceives Intergalactic Network

    J.C.R. Licklider Conceives Intergalactic Network

    J.C.R. Licklider writes about his Intergalactic Network a idea of interconnected computers.
  • ARPA Sponsors Networking Study

    ARPA Sponsors Networking Study

    Two computers talked to each other using packet-switching technology at MIT Lincoln Lab, sponsered by ARPANET.
  • Paul Baran Develop Message Blocks

    Paul Baran Develop Message Blocks

    The Rand Corporation's Paul Baran makes Message blocks.
  • Donald Davies Packet-switching

    Donald Davies Packet-switching

    Developed a new technology called Packet-switching in Britian.
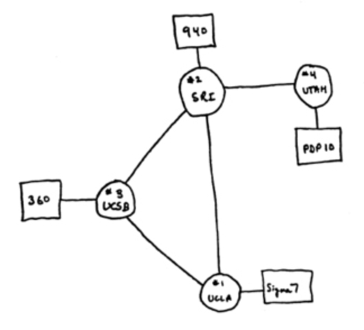
  • IMP Network Links First Four Nodes

    IMP Network Links First Four Nodes

    The physical Interface Message Processor (IMP) network is constructed, linking four nodes: University of California at Los Angeles, SRI (in Stanford), University of California at Santa Barbara, and University of Utah.
  • The first email was sent by Ray Tomlinson

    The first email was sent by Ray Tomlinson

    First email sent by Ray Tomilson, likely "QWERTYIOP or something similar."
  • The first domain name ever registered

    The first domain name ever registered

    The first ever domain name was, Symbolics.com.
  • The first website was launched

    The first website was launched

    The first website ever was launced in 1991 and was dedicated to provide information about the Worl Wide Web.
  • The first AOL Instant Message was sent

    The first AOL Instant Message was sent

    It was sent by Ted Leonesis to his wife,
    "Don't be scared ... it is me. Love you and miss you."
    and she replied
    "Wow ... this is so cool!"
  • The first item sold on eBay

    The first item sold on eBay

    The first item ever sold on ebay was a broken laser pointer for $14.83 in 1995, it was bought bought it told founder Pierre Omidyar.
  • Google was founded

    Google was founded

    Google was founded in Menlo Park, Larry Page and Sergey Brin.
  • The first YouTube video uploaded

    The first YouTube video uploaded

    The first YouTube video posted was posted by co-founder Jawed Karim at the San Diego Zoo. It was uploaded on April 23, 2005 and has been watched nearly 10 million times.
  • First Tweet

    First Tweet

    The first tweet was written by co-founder Jack Dorsey on March 21, 2006.
  • SPAM

    SPAM

    The first ever spam email. Gary Thuerk, a marketer for the Digital Equipment Corporation, sent his message to 400 of the 2600 people on ARPAnet.
  • First banner ad ever online

    First banner ad ever online

    Joe McCambley ran the first banner ad ever onlineon HotWired.com and it promoted 7 art museums, sponsored by AT&T.

A list shows items. A timeline shows sequence.

Use Timetoast to make dates, milestones, and turning points easier to understand in a clear visual format. Timetoast is a timeline maker for work, school, research, and stories.