APORTES CIENTÍFICOS DE LA ÉPOCA MOLECULAR-BIOLOGÍA ACTUAL

  • Sutton Boveri  y Walter Sutton

    Sutton Boveri y Walter Sutton

    La teoría de los cromosomas de Sutton Boveri Establece que los alelos mendelianos se encuentran en los cromosomas.
    Esta teoría fue desarrollada exclusivamente en 1902 por Theodor Boveri y Walter Sutton, comúnmente es llamada la teoría cromosómica de la herencia.
    Esta fue polémica hasta en 1915, cuando Thomas Morgan logro la aceptación mundial de la teoría luego de varios estudios.
  • Thomas Hunt Morgan

    Thomas Hunt Morgan

    Morgan Propone la teoría cromosómica en base a un experimento que realiza con un par de moscas al cruzarlas y comparar el color de sus ojos que en los machos era blanco, esta teoría le arroja como resultado que los genes están en los cromosomas y que por con siguiente los genes están en el mismo cromosoma y se espera que se hereden juntos, a esto se le nombra “genes ligados”. Según Morgan la posición de los genes en los cromosomas es lineal, de esta manera se da la recombinación genética.
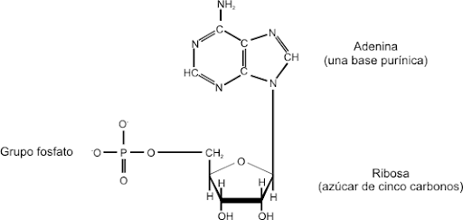
  • Phoebus Levene

    Phoebus Levene

    Phoebus Levene identificó que un nucleótido esta conformado por una base nitrogenada, azúcar y fosfato. Levene recomendó que el ADN generaba una forma de muelle con unidades de nucleótidos que se a unen mediante grupos de fosfato.
  • Joachim Hämmerling

    Joachim Hämmerling

    Joachim Hämmerling como biólogo determina que el núcleo de la celula es la encargada de manejar el desarrollo de los organismos contenidos en información de ADN. Sus experimentos con algas verdes le arrojan el patrón de estudio para la biológica moderna de la célula.
  • Tom Torbjörn Caspersson Y Einar Hammarsten

    Tom Torbjörn Caspersson Y Einar Hammarsten

    Tom Torbjörn Caspersson Y Einar Hammarsten fueron capaces de evidenciar que el ADN era un polímero. Estas anteriores teorías recomendaron que cada molécula tenía diez nucleótidos de longitud.
  • William Thomas Astbury

    William Thomas Astbury

    William Thomas Astbury realizo estudios de difracción por rayos X, en done descubrió y propuso que el ADN era una fibra compuesta de bases nitrogenadas apiladas a 0.33 nm unas de otras.
  • Esther Lederged

    Esther Lederged

    Esther Lederged descubrió el factor F o factor de fertilidad que se refiere a transferir genes de una bacteria portadora del factor a otra que no lo posee , durante sus experimentos para encontrar el profago lambda del E. Coli, a consecuencia de la falla de algunos cruces para obtener formas recombinantes, donde supuso que algunos de sus cepas de E. Coli habían perdido un factor de fertilidad.
  • Rosalind Franklin

    Rosalind Franklin

    Rosalind Franklin empezó a experimentar con la difracción de rayos X para estudiar la molécula de ADN y al poco tiempo creó la icónica "Foto 51" junto a Raymond Gosling en donde detallo las distancias relativas de los distintos elementos repetitivos en una molécula de ADN y detalles que sugerían que la molécula de ADN constaba de dos partes iguales y complementarias.
  • Martha Chase y Alfred Hershey

    Martha Chase y Alfred Hershey

    Martha Chase junto a Alfred Hershey realizaron una serie de experimentos con el fago T2, en donde el fago consiste únicamente en una cubierta proteica o cápside que contiene su material genético, e infecta a una bacteria cuando se adhiere a su membrana externa, inyecta dicho material y le deja acoplado el cápside.para confirmar si es que el ADN es la base del material genético (y no las proteínas), en donde se confirma que el ADN si es la base del material genético.
  • James Watson y  Francis Crick

    James Watson y Francis Crick

    Watson y Crick fueron son quienes descubren la forma particular de escalera de caracol formada con nucleótidos simulando escalones, o doble hélice como se le conoce al ADN hoy en día, la forma del ADN como la conocemos fue a darse a conocer el 25 de abril de 1953.
  • Alexander R. Todd

    Alexander R. Todd

    Alexander R. Todd sintetizó nucleótidos en situaciones controladas que sólo permitían un único tipo de enlace, observando que los ácidos nucleicos estaban formados por pentosas de nucléotidos contiguos unidos por ácidos fosfóricos, a la vez que a las pentosas se unían también las bases nitrogenadas.
  • Esther Lederbeg

    Esther Lederbeg

    Esther Lederbeg junto a su esposo Joshua Lederbeg por medio del proceso de transducciòn que se define como la transferencia genética desde una célula donadora a otra receptora mediatizado por partículas que tienen ADN genòmico, descubrieron la transferencia de genes entre bacterias.
  • Daisy Dussoix

    Daisy Dussoix

    Daisy Dussoix demostró que al infectar una bacteria el ADN del fago es degradado bajo la acción de una proteína enzimática, logrando un efecto de "tijera" capaz de cortar el material genético en partes específicas
  • Martin Evans

    Martin Evans

    Martin Evans descubrió el estado embrionario de las células madres en donde realizo diversas técnicas de modificación de genética en animales
  • Barbara McClinton

    Barbara McClinton

    Barbara McClinton descubrió por medio de las experimentaciones en el maíz que los elementos genéticos móviles que es material genético es capaz de trasladarse de un organismo a otro insertándose dentro del genoma o que también pueden moverse a diferentes partes de un genoma.
  • John Craig Venter

    John Craig Venter

    John Craig Venter descifró la secuencia completa de un organismo vivo y a partir de eso creo un cromosoma artificial compuesto por elementos químicos.

Plan projects on a visual timeline

Map milestones, phases, deadlines, and key events in one place so the sequence is easier to see and share. Timetoast is a timeline maker for work, school, research, and stories.