antecedentes de la química

  • descubrimiento del fuego
    1 CE

    descubrimiento del fuego

  • técnicas de alfarería
    10

    técnicas de alfarería

    en china y egipto se experimenta con las técnicas de alfareria
  • aristóteles descubre los cuatro elementos del todo
    1000

    aristóteles descubre los cuatro elementos del todo

  • se descubre a destilacion

    se descubre a destilacion

    pre quimicos lo descubren como arte y no como ciencia
  • química de boyle

    química de boyle

    boyle promulga que sus descubrimientos son pre química y no química como tal
  • escala de temperatura fahrenheit

    escala de temperatura fahrenheit

    fahrenheit inventa su propia escala de medición de temperatura
  • se inventa el primer termómetro de mercurio

    se inventa el primer termómetro de mercurio

    fahrenheit fabrica el primer termometro de mercurio
  • se promulga la ley de la conservación de la masa

    se promulga la ley de la conservación de la masa

    lavoisier promulga que la masa no se crea ni se destruye, sólo se transforma
  • se descubre la química orgánica

    se descubre la química orgánica

    friedrich Wöhler , inventor de la química orgánica
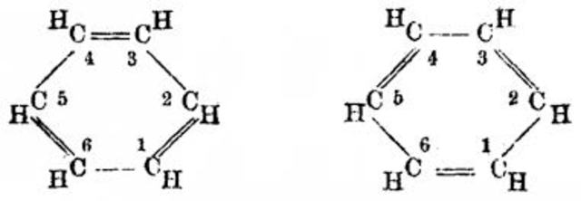
  • kekulé establece la teoría de a estructura química

    kekulé establece la teoría de a estructura química

  • inicio de la petroquímica

    inicio de la petroquímica

  • descubrimiento de los rayos X

    descubrimiento de los rayos X

    Wilhelm Conrad Röntgen los descubre
  • se aisla por primera vez el radio atómico

    se aisla por primera vez el radio atómico

    Marie curie es la primera en descubrir el átomo y aislarlo
  • primera producción de insulina

    primera producción de insulina

  • se descubre el protón y neutrón

    se descubre el protón y neutrón

  • descubrimiento de la doble cadena de hélice en el ADN

    descubrimiento de la doble cadena de hélice en el ADN

  • se utiliza primera bomba de hidrogeno

    se utiliza primera bomba de hidrogeno

  • descubrimiento de los neutrinos

    descubrimiento de los neutrinos

  • se descubren las neuronas de hipocampo

    se descubren las neuronas de hipocampo

  • se clona a la primera oveja

    se clona a la primera oveja

    la ingeniería genética utiliza las celulas madre de una oveja para clonarla
  • lluvias de metano en titán

    lluvias de metano en titán

    en una de las lunas de júpiter el paisaje es formado por las lluvias del gas metano
  • descubrimiento de nuevo mineral "jadeita"

    descubrimiento de nuevo mineral "jadeita"

    un mineral nuevo, parecido a la kriptonita en la seria superman, es descubierto y es formado por sodio, litio, boro, silicato e hidróxido.
  • nuevo elemento en la tabla periódica

    nuevo elemento en la tabla periódica

    se descubre un nuevo elemento sintético llamado copernicium.
  • se inventa el primer cromosoma artificial

    se inventa el primer cromosoma artificial

  • primera hamburguesa sintética

    primera hamburguesa sintética

    sintetizan las células madre de una vaca para convertirlas en fibras de músculo y convertirlo en carne de hamburguesa
  • se crea insulina a partir de células de embriones humados

    se crea insulina a partir de células de embriones humados

  • primera vacuna efectiva contra el ébola

    primera vacuna efectiva contra el ébola

    se crea la primera vacuna efectiva contra el ébola
  • logran disover el dióxido de carbono

    logran disover el dióxido de carbono

    en una universidad logran disolver el carbono en agua y sellarlo en un frasco para reducir la contaminación
  • Método CRISPR sigue avanzando

    Método CRISPR sigue avanzando

    Ahora además de que ya se probó en humanos, es utilizado para cambiar el material genético contra enfermedades.
  • se crean los primeros embriones artificiales

    se crean los primeros embriones artificiales

    se crean sin necesidad de un óvulo o algún esperma

Plan projects on a visual timeline

Map milestones, phases, deadlines, and key events in one place so the sequence is easier to see and share. Timetoast is a timeline maker for work, school, research, and stories.