All you need to know about t-student test statistic

  • Class: BUSML 4202

    This topic is being covered in a Marketing class. The name of the class is Marketing Research 4202
  • What is the T-Value

    First thing we did when learning about the T-value was understand what is a T-Value. The t score is a ratio between the difference between two groups and the difference within the groups. The larger the t score, the more difference there is between groups. The smaller the t score, the more similarity there is between groups.
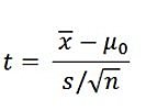
  • T Formula

    T Formula

  • When the difference is not large enough

    The difference (signal) isn't large enough. Nothing you can do about that, assuming that your study is properly designed and you've collected a representative sample.
  • The variation is too large

    The variation (noise) is too great. This is why it's important to remove or account for extraneous sources of variation when you plan your analysis. For example, you could use a control chart to identify and eliminate sources of special-cause variation from your process before you collect data for a t-test on the process mean.
  • The sample is too small

    The sample is too small. Remember the effect of variation is lessened by sample size. That means for a given difference and a given amount of variation, a larger sample is more likely to achieve statistical significance.
  • Important Information

    All the information mentioned above was retrieved from online lectures available in multiple streaming forms, class discussions and other resources and applied in our day-to-day class activities, homework and exams.

Looking for a timeline maker?

Create timelines for projects, roadmaps, history, lessons, legal cases, and stories with Timetoast. Timetoast is a timeline maker for work, school, research, and stories.