1992

The History Of the Internet

  • Russians Launch Sputnik

    Russians Launch Sputnik

    In 1957, The USSR (Russia) launches Sputnik, which is an artificial earth satelite. Becuase of this, The United States create the Advanced Research Projects Agency. This establishes lead in US technology.
  • Period: to

    The History Of The Internet

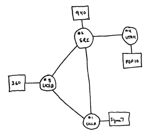
  • Arpanet

    Arpanet

    The ARPA launches arpanet. A mini Honywell mini computer was connected between 4 nodes. Utah, Santa Barbara, Los Angeles, and Satnford.
  • The First Email Program

    The First Email Program

    A man named Ray Tomlinson created the first use of the '@' sign. This was used to transfer data between each node using Arpanet.
  • TCP / IP

    TCP / IP

    Stanford created a device called TCP / IP, This allowed different computers to communicate and interconnect wih each other.
  • Internet

    Internet

    The first use of the term, Internet. This was used by Vint cerf in a paper of transmission conrol.
  • Bulletin Board

    Bulletin Board

    The first online bulletin board was created to connect between different systems, posting comments onto one page.
  • CSNET

    CSNET

    The nation science foundation created a System called CSNET, this allowed networks who did not have access to ARPANET.
  • Domain Name

    Domain Name

    In Wisconsin they created the DOmain name system. This was a word or phrase that could be entered into the system and be translated into a IP Number for the computer to read. This meant that people no longer had to remeber long numbers.
  • World Wide Web

    World Wide Web

    A proffesor a CERN first named the wide system of computers interconnected with each, the 'WORLD WIDE WEB'
  • 45 million users

    45 million users

    The total number of people using the internet in 1996 is a grand total of 45 million.
  • 360 million users

    360 million users

    After nearly 50 years of development the internet has a total number of users of 360 million. And the internet is still developing.