Knowledge

21st century technology

  • Bell Labs Invents Modem

    Bell Labs Invents Modem

    Bell Labs researchers invent the modem (modulator - demodulator), which converts digital signals to electrical (analog) signals and back.
  • Period: to

    the internet

  • ASCII Is Developed

    ASCII Is Developed

    The first universal standard for computers, ASCII is developed by a joint industry-government committee. ASCII permits machines from different manufacturers to exchange data.
  • Lawrence Roberts & Thomas Marill Create First Wide-area Network

    Lawrence Roberts & Thomas Marill Create First Wide-area Network

    Lawrence Roberts (MIT) and Thomas Marill get an ARPA contract to create the first wide-area network (WAN) connection via long distant dial-up between a TX-2 computer in Massachusetts and a Q-32 computer in California. The system confirms that packet switching offers the most promising model for communication between computers.
  • Lawrence Roberts Leads Networking Experiment

    Lawrence Roberts Leads Networking Experiment

    Building on the 1965 “Cooperative Network of Time-sharing Computers” study, MIT’s Lawrence Roberts comes to ARPA to conduct the networking experiment and develop the first ARPAnet plan ("Towards a Cooperative Network of Time-Shared Computers")
  • Danny Cohen Develops First Real-time Visual Flight Simulator

    Danny Cohen Develops First Real-time Visual Flight Simulator

    Danny Cohen develops the first real-time visual flight simulator on a general purpose computer and the first real-time radar simulator. His flight simulator work leads to the development of the Cohen-Sutherland computer graphics line clipping algorithms, created with Ivan Sutherland.
  • ARPAnet’s Structural Proposal Written

    ARPAnet’s Structural Proposal Written

    Dr. Howard Frank co-writes the proposal that wins the contract to design the network structure for the ARPAnet.
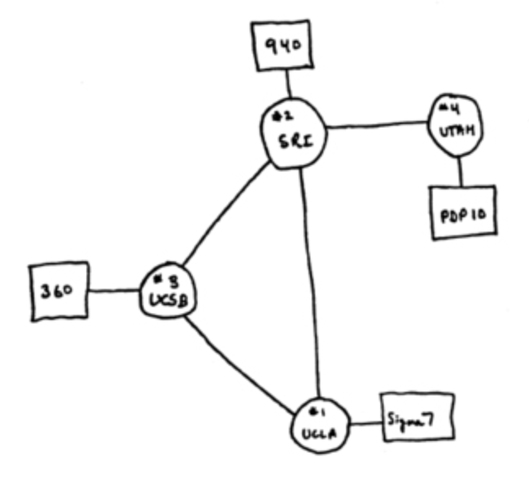
  • IMP Network Links First Four Nodes

    IMP Network Links First Four Nodes

    The physical Interface Message Processor (IMP) network is constructed, linking four nodes: University of California at Los Angeles, SRI (in Stanford), University of California at Santa Barbara, and University of Utah.
  • UCLA Team Sends First Data Packets

    UCLA Team Sends First Data Packets

    The first data packets are sent between networked computers on October 29th by Charley Kline at UCLA, under supervision of Professor Leonard Kleinrock. The first attempt resulted in the system crashing as the letter G of “Login” was entered. The second attempt was successful.
  • Ray Tomlinson Invents Email

    Ray Tomlinson Invents Email

    Ray Tomlinson of BBN invents the email program to send messages across a distributed network. The "@" sign is chosen from the punctuation keys on Tomlinson's Model 33 Teletype to separate local from global emails, making "user@host" the email standard.
  • http://www.internethalloffame.org/internet-history/timeline

    http://www.internethalloffame.org/internet-history/timeline

    Faced with the "good fortune to be the first person in the world to be given the problem of connecting a roomful of computers," Bob Metcalfe co-invented the Ethernet at Xerox Parc. - See more at: http://www.internethalloffame.org/internet-history/timeline#sthash.YRvCAC4Y.dpuf
  • Visual Simulator Runs Over ARPAnet

    Visual Simulator Runs Over ARPAnet

    http://www.internethalloffame.org/internet-history/timelineDanny Cohen adapts the visual simulator to run over the ARPAnet, the first application of packet- switching networks to real-time applications.
  • Tim Berners-Lee Creates WWW

    Tim Berners-Lee Creates WWW

    http://www.internethalloffame.org/internet-history/timelineAt CERN, the European Physical Laboratory, Tim Berners-Lee creates the World Wide Web. Robert Cailliau is a key proponent of the project, and helps Berners-Lee author a proposal for funding. Later, Cailliau develops, along with Nicola Pellow, the first web browser for the Mac OS operating system.
  • Linus Torvalds Creates Linux

    Linus Torvalds Creates Linux

    http://www.internethalloffame.org/internet-history/timelineLinus Torvalds creates Linux and becomes a leading supporter of Open Source software.
  • World Wide Web Opens to Public

    World Wide Web Opens to Public

    http://www.internethalloffame.org/internet-history/timelineThe World Wide Web is made available to the public for the first time on the Internet.
  • NCSA Releases Mosaic Browser

    NCSA Releases Mosaic Browser

    http://www.internethalloffame.org/internet-history/timelineMark Andreessen and Eric Bina create the Mosaic browser at the National Center for Supercomputing Applications (NCSA), which helps popularize the World Wide Web among the general public.
  • MP3 Is Developed

    MP3 Is Developed

    http://www.internethalloffame.org/internet-history/timelineBrandenburg and his team settle on a file extension for the audio format, shortening MPEG1, Layer 3 to MP3.
  • Blogs First Appear

    Blogs First Appear

    http://www.internethalloffame.org/internet-history/timelineThe advent of web publishing tools available to non-technical users spurs the rise of blogs.
  • Aaron Swartz Co-Creates RSS

    Aaron Swartz Co-Creates RSS

    http://www.internethalloffame.org/internet-history/timelineAaron Swartz co-creates RSS, a program that collects news from various web pages and puts them in one place for readers, with the goal of making information freely available to everyone
  • Pun Connects Nepal

    Pun Connects Nepal

    http://www.internethalloffame.org/internet-history/timelineMahabir Pun, with the help of volunteers from the US and Europe, connects the first village in Nepal to the Internet using long range wireless links built from homemade antennas. This is the beginning of the Nepal Wireless Network, which has since connected 175 villages to the Internet.
  • Royal Wedding Is Biggest Internet Event; UCLA Opens Internet History Center - See more at: http://www.internethalloffame.org/internet-history/timeline#sthash.Cri5pVZP.dpuf

    Royal Wedding Is Biggest Internet Event; UCLA Opens Internet History Center - See more at: http://www.internethalloffame.org/internet-history/timeline#sthash.Cri5pVZP.dpuf

    http://www.internethalloffame.org/internet-history/timelineLive streaming of Will and Kate’s wedding is the biggest event ever watched on the Internet, and UCLA, where the first ARPAnet node was built, opens its Internet History Center. - See more at: http://www.internethalloffame.org/internet-history/timeline#sthash.Cri5pVZP.dpuf

Want to make a timeline like this?

Use Timetoast to turn dates, events, milestones, and phases into a clear visual timeline you can build and share. Timetoast is a timeline maker for work, school, research, and stories.