Mike Malec's History of the Internet Timeline

By mmalec
  • Advanced Research Projects Agency (ARPA) is created

    Advanced Research Projects Agency (ARPA) is created

    Found a way that computers can talk to each other in case of
    nuclear attack.
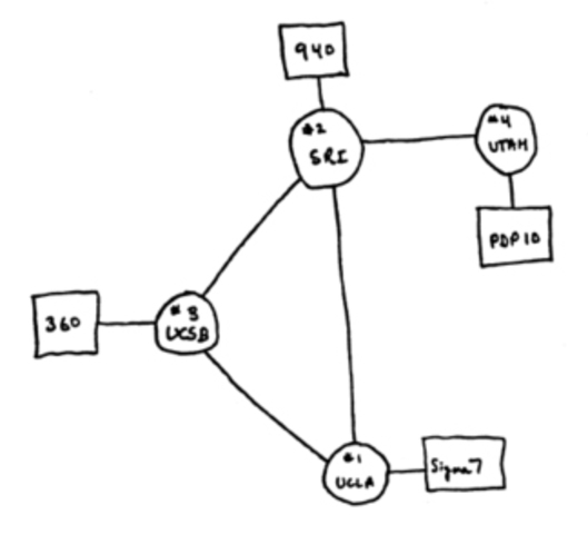
  • IMP Network Links First Four Nodes

    IMP Network Links First Four Nodes

    IMP Network Links First Four Nodes The physical Interface Message Processor (IMP) network is constructed, linking four nodes: University of California at Los Angeles, SRI (in Stanford), University of California at Santa Barbara, and University of Utah. - See more at: http://www.internethalloffame.org/internet-history/timeline#sthash.Iurolz4X.dpuf
  • Computers at Stanford and UCLA connected for the first time

    Computers at Stanford and UCLA connected for the first time

    The first hosts on what would one day
    become the Internet.
  • An Arpanet network was established

    An Arpanet network was established

    Network between Harvard, MIT, and BBN (the company that created the
    "interface message processor" computers used to connect to the network) in 1970 was created.
  • Email was first developed

    Email was first developed

    Developed by Ray Tomlinson, who also made the decision to use the "@" symbol to separate
    the user name from the computer name (which later on became the domain name)
  • The beginning of TCP/IP

    The beginning of TCP/IP

    A proposal was published to link Arpa-like networks together into a so-called "inter-network",
    which would have no central control and would work around a transmission control protocol (which eventually became TCP/IP).
  • The first Personal Computer Modem is Invented

    The first Personal Computer Modem is Invented

    The modem was invented by Dennis Hayes and Dale Heatherington,
    and was introduced and initially sold to computer hobbyists
  • Spam is born

    Spam is born

    The first unsolicited commercial email message(later known as spam), was sent out to 600 California
    Arpanet users by Gary Thuerk.
  • MUD – The earliest form of multiplayer games was debuted

    MUD – The earliest form of multiplayer games was debuted

    The precursor to World of Warcraft and Second Life was
    developed in 1979, and was called MUD (short for MultiUser Dungeon). MUDs were entirely text-based virtual worlds, combining
    elements of role-playing games, interactive, fiction, and online chat.
  • Online Shopping was inventeed

    Online Shopping was inventeed

    Online shopping was invented English entrepreneur Michael Aldrich invented online shopping in 1979. His system connected a modified domestic TV to a real-time transaction processing computer via a domestic telephone line.
  • The first emoticon :-)

    The first emoticon :-)

    The first emoticon was used While many people credit Kevin MacKenzie with the invention of
    the emoticon in 1979, it was Scott Fahlman in 1982 who proposed using :-) after a joke, rather than the original -) proposed by
    MacKenzie.
  • The domain name system was created

    The domain name system was created

    The first Domain Name Servers (DNS) was created. The domain name system
    was important in that it made addresses on the Internet more human-friendly compared to its numerical IP address counterparts.
    DNS servers allowed Internet users to type in an easy-to-remember domain name and then converted it to the IP address
    automatically
  • World Wide Web protocols finished

    World Wide Web protocols finished

    The code for the World Wide Web was written by Tim Berners-Lee, based on his
    proposal from the year before, along with the standards for HTML, HTTP, and URLs.
  • first tool to search the internet is developed

    first tool to search the internet is developed

    first tool to search the internet is developed the first tool to search the internet is developed by McGill University student Alan Emtage.
  • First web page created 1991

    First web page created 1991

    brought some major innovations to the world of the Internet. The first web page was created
    and, much like the first email explained what email was, its purpose was to explain what the World Wide Web was.
  • WIFI was invented

    WIFI was invented

    WIFI was invented Back in 1991 Wi-Fi was invented by NCR Corporation/AT&T in Nieuwegein, the Netherlands
  • The White House launches its website, www.whitehouse.gov.

    The White House launches its website, www.whitehouse.gov.

    The White House launches its website The White House launches its website to successfully allow viewers to see the website.
  • Amazon went online

    Amazon went online

    Amazon went online Amazon.com, Inc. is an American international electronic commerce company with headquarters in Seattle, Washington, United States. It is the world's largest internet company, based on revenue and number of employees
  • Ebay went online

    Ebay went online

    Ebay went online eBay Inc., is an American multinational corporation and e-commerce company, providing consumer-to-consumer sales services via Internet. It is headquartered in San Jose, California, United States.
  • Google was created

    Google was created

    Google was created
    Google is an American multinational corporation specializing in Internet-related services and products. These include online advertising technologies, search, cloud computing, and software.
  • Twitter was created

    Twitter was created

    Twitter was createdTwitter is an online social networking service that enables users to send and read short 140-character messages called "tweets". Registered users can read and post tweets, but unregistered users can only read them
  • Instagram was created

    Instagram was created

    Instagram was created Instagram was created by Kevin Systrom and Mike Krieger, and launched in October 2010. The service rapidly gained popularity, with over 100 million active users as of April 2012[update]. Instagram is distributed through the Apple App Store, Google Play, and Windows Phone Store.

Want to make a timeline like this?

Use Timetoast to turn dates, events, milestones, and phases into a clear visual timeline you can build and share. Timetoast is a timeline maker for work, school, research, and stories.