Matemáticos importantes

  • Trigonometría
    100

    Trigonometría

    Claudio Ptolomeo introdujo las primeras nociones de triángulos para los astrónomos
    Biografía de Claudio Ptolomeo.
  • Notación algebraica
    250

    Notación algebraica

    Los escritos de Diofanto de Alejandría contribuyeron de forma notable al perfeccionamiento de la notación algebraica y al desarrollo de los conocimientos del álgebra de su época.
    Aportó también un procedimiento para resolver ecuaciones cuadráticas.
  • Avances en Trigonometría
    Jan 1, 1467

    Avances en Trigonometría

    Johann Müller Regiomontano detalla varias herramientas de gran utilidad a la trigonometría como la tabla de senos.
  • Logaritmos

    Logaritmos

    John Napier introdujo los logaritmos como medio de simplificación de los cálculos
    Biografia John Napier
  • Tablas logarítmicas

    Tablas logarítmicas

    Henry Briggs diseñó las primeras tablas logarítmicas
  • Period: to

    Isaac Newton

  • Función logarítmica

    Función logarítmica

    Evangelista Torricelli realizó la primer representación gráfica de la función logarítmica
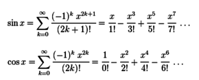
  • Función seno

    Función seno

    Isaac Newton encontró la serie para la función seno y varias similares.
  • Programación lineal

    Programación lineal

    Jean-Baptiste Joseph Fourier desarrolla durante la Segunda Guerra Mundial la programación lineal
    Orígenes de la programación lineal
  • Sistemas de ecuaciones

    Sistemas de ecuaciones

    Johann Karl Friedrich Gauss aporta el método de eliminación gaussiana para la resolución de sistemas de ecuaciones.
  • Sistemas de inecuaciones

    Sistemas de inecuaciones

    Gyula Farkas concibe un método para resolver sistemas de inecuaciones
  • Ecuaciones cuadráticas

    Ecuaciones cuadráticas

    Mohammed ibn Musa al-Khwarizmi desarrolló una forma para resolver ecuaciones cuadráticas
  • Avances en la programación lineal

    Avances en la programación lineal

    George Bernard Dantzig desarrolla el método simplex. Es considerado el padre de la programación lineal.

A list shows items. A timeline shows sequence.

Use Timetoast to make dates, milestones, and turning points easier to understand in a clear visual format. Timetoast is a timeline maker for work, school, research, and stories.