Calculo 1

los 20 matematicos mas grandes de la historia

  • Period: 1494 to 1575

    Francesco Maurolico

    Era hombre de cultura enciclopédica, Matemático, astrónomo, poeta e historiador. Maurolico, lo llevó a la Gnomónica y a la óptica, y sus resultados fueron la base de la teoría de las cáusticas por reflexión. Maurolico fue el iniciador del llamado método de inducción completa que Bernoulli perfeccionó en el siglo siguiente
  • Niccolò Fontana Tartaglia
    1500

    Niccolò Fontana Tartaglia

    Nació en Brescia en 1499 o 1500, ciudad entonces dependiente de la República de Venecia. Era hijo de Michele Fontana, que murió cuando Tartaglia tenía seis años, dejando a la familia, madre y tres hijos, en una situación de pobreza
  • Gerolamo Cardano
    1501

    Gerolamo Cardano

    Nacido en Pavía, Italia, Gerolamo Cardano era hijo ilegítimo de Fazio Cardano, un abogado con talento para las matemáticas que fue amigo de Leonardo Da Vinci
  • Period: 1501 to 1557

    Niccolò Fontana Tartaglia

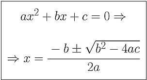
    fue un matemático e ingeniero italiano, apodado Tartaglia a causa de su tartamudez. Tartaglia desarrolló la fórmula general para resolver las ecuaciones de tercer grado
  • Period: 1501 to 1576

    Gerolamo Cardano

    fue un matemático italiano del Renacimiento, astrólogo y un estudioso del azar. es conocido por ser el primero en publicar una solución general completa de la ecuación de tercer grado 3 y de la ecuación de cuarto grado
  • Federico Commandino
    1509

    Federico Commandino

    Federico Commandino nació en Urbino (Italia) en 1509
  • Period: 1509 to 1575

    Federico Commandino

    planisferio de Ptolomeo, encontró un método para dibujar en perspectiva el círculo y la esfera, fue Commandino quien franqueó la etapa decisiva, de tanta trascendencia para la pintura del Renacimiento Commandino, en un opúsculo titulado De centro gravitatis solidorum: centros de gravedad del cono y del paraboloide de revolución
  • Gerolamo Cardano
    1520

    Gerolamo Cardano

    , ingresó en la Universidad de Pavía y estudió medicina en Padua consiguiendo excelentes calificaciones
  • Francesco Maurolico
    1521

    Francesco Maurolico

    obtubo la ordenación sacerdotal en 1521
  • Niccolò Fontana Tartaglia
    1528

    Niccolò Fontana Tartaglia

    las tropas francesas al mando de Gastón de Foix tomaron la ciudad de Brescia. Niccolò Fontana, a pesar de estar refugiado en la catedral, recibió varias heridas, una de ellas en la boca. Las secuelas de esta herida le causaron la tartamudez que dio origen al sobrenombre Tartaglia (tartamudo) con el que llegó a firmar sus obras
  • Gerolamo Cardano
    1539

    Gerolamo Cardano

    publicó su libro de aritmética Practica arithmetica et mensurandi singulares. Publicó las soluciones a las ecuaciones de tercer y cuarto grado en su Ars magna datado en 1545
  • Gerolamo Cardano
    1539

    Gerolamo Cardano

    fue aceptado en 1539 en el Colegio Médico de Milán, llegando a la cúspide de su profesión
  • 1550

    Francesco Maurolico

    en 1550 el científico fue nombrado abad del monasterio de Santa María del Parto (en Castelbuono) por Simone Ventimiglia marqués de Geraci, alumno y patrón de Maurolico.3
  • 1557

    Niccolò Fontana Tartaglia

    Enseñó esta ciencia sucesivamente en Verona, Vicenza, Brescia y finalmente, en Venecia; donde falleció en 1557 víctima de pobreza material, que le acompañó toda su vida.
  • Federico Commandino
    1558

    Federico Commandino

    A él se debe una nueva traducción de algunas obras de Arquímedes (1558, Archimedis Opera nonnulla), entre las cuales se encuentra el tratado Sobre los cuerpos flotantes. Tradujo la obra de Aristarco de Samos (Sobre la grandeza y distancia del Sol y de la Luna), la Colección matemática de Pappus de Alejandría (publicada póstumamente en 1588), a Euclides (también traducido al italiano), los primeros cuatro libros de las Cónicas de Apolonio,
  • 1560

    Federico Commandino

    Fundó en Urbino una escuela de matemáticas entre cuyos alumnos destacaron Guidobaldo Del Monte y Bernardino Baldi. Commandino además mantuvo correspondencia con Francesco Maurolico de Mesina, uno de los matemáticos más creativos de su época.
  • 1570

    Gerolamo Cardano

    Cardano fue acusado de herejía en 1570 debido al tono polémico y agudo de sus escritos y por ser el autor del horóscopo de Jesús en 1554. Fue procesado por la Inquisición, pasó varios meses en prisión, abjuró y logró la libertad pero con la prohibición de publicar
  • Francesco Maurolico
    1575

    Francesco Maurolico

    Murió en 1575 de muerte natural, durante una epidemia de peste debido a que el matemático se había retirado en “Contrada Annunziata” (una zona a las afueras de Mesina), donde los Marulì poseían una villa familiar que, probablemente, en el pasado, a veces había albergado la academia mesinesa de la que el científico había formado parte.
  • Gerolamo Cardano
    1576

    Gerolamo Cardano

    Murió en Roma (una leyenda dice que en el día que él mismo había predicho) y su cuerpo fue trasladado a Milán y enterrado en la iglesia de San Marcos
  • René Descartes

    René Descartes

    Descartes nació el 31 de marzo de 1596 en la Turena, en La Haye en Touraine, hoy en día llamada Descartes en su honor
  • Period: to

    René Descartes

    fue un filósofo, matemático y físico francés, considerado como el padre de la filosofía moderna, así como uno de los protagonistas con luz propia en el umbral de la revolución científica. Descartes publicó su Geometría como un ejemplo de su método, y su labor matemática sólo fue un episodio de su carrera de filósofo
  • Period: to

    Pierre de Fermat

    fue un jurista y matemático francés descubrió el principio fundamental de la geometría analítica. Sin embargo, es más conocido por sus aportaciones a la teoría de números en especial por el conocido como último teorema de Fermat, Espiral de Fermat, Números amigos, Números primos, Teorema sobre la suma de dos cuadrados, Pequeño teorema de Fermat,Principio de Fermat
  • René Descartes

    René Descartes

    los 18 años de edad, Descartes ingresó en la Universidad de Poitiers para estudiar derecho y medicina. Para 1616 cuenta con los grados de bachiller y licenciado en Derecho
  • René Descartes

    Renuncia a la vida militar en 1619. Abandona Holanda, vive una temporada en Dinamarca y luego en Alemania
  • Pierre de Fermat

    Pierre de Fermat

    fermat nació en la primera década del siglo XVII en Beaumont-de-Lomagne, Francia
    Asistió a la Universidad de Orleans desde 1623
  • Pierre de Fermat

    Pierre de Fermat

    recibió un título de bachiller en derecho civil en 1626
  • Pierre de Fermat

    Pierre de Fermat

    1631 Comunicó la mayor parte de su trabajo en cartas a amigos, a menudo con poca o ninguna prueba de sus teoremas. En algunas de estas cartas a sus amigos, exploró muchas de las ideas fundamentales del cálculo antes que Newton o Leibniz
  • René Descartes

    René Descartes

    Descartes publica su Geometría en 1637 donde perfecciona la teoría de las secciones cónicas hasta que los recursos del Cálculo Infinitesimal, ampliando el principio de correspondencia entre las curvas y las ecuaciones, abrieron nuevos horizontes fecundos
  • Period: to

    Isaac Newton

    fue un físico, teólogo, inventor, alquimista y matemático inglés. Es autor de los Philosophiæ naturalis principia mathematica, más conocidos como los Principia.
    Newton hace el desarrollo del cálculo integral y diferencial, que utilizó para formular sus leyes de la física y astronomía. También contribuyó en otras áreas de las matemáticas, desarrollando el teorema del binomio y las fórmulas de Newton-Cotes.
  • Isaac Newton

    Isaac Newton

    Isaac Newton nació el 4 de enero de 1643
  • Gottfried Wilhelm Leibniz

    Gottfried Wilhelm Leibniz

    Gottfried Leibniz nació el 1 de julio de 1646 en Leipzig, dos años antes de que terminara la Guerra de los Treinta Años
  • Period: to

    Gottfried Wilhelm Leibniz

    fue un filósofo, matemático, lógico, teólogo, jurista, bibliotecario y político alemán.
  • René Descartes

    René Descartes

    En septiembre de 1649, la reina Cristina de Suecia llamó a Descartes a Estocolmo. Allí murió de una neumonía el 11 de febrero de 1650, a los 53 años de edad
  • Gottfried Wilhelm Leibniz

    Gottfried Wilhelm Leibniz

    a la edad de catorce años, se matriculó en la Universidad de Leipzig y completó sus estudios a los veinte años, especializándose en leyes y mostrando dominio de los clásicos, lógica y filosofía escolástica. Sin embargo, su educación en matemáticas no estaba a la altura de franceses o británicos.
  • Isaac Newton

    Isaac Newton

    En 1663 la geometría y la óptica ya tenían un papel esencial en la vida de Newton. Además, en esos días su fama comenzó a crecer, ya que había iniciado correspondencia con la Royal Society.
    Newton había descubierto los principios de su cálculo diferencial e integral hacia 1665-1666 y, durante el decenio siguiente, elaboró al menos tres enfoques diferentes de su nuevo análisis.
  • Pierre de Fermat

    Pierre de Fermat murió el 12 de enero de 1665 en Castres, en el departamento actual de Tarn
  • Gottfried Wilhelm Leibniz

    Gottfried Wilhelm Leibniz

    fue nombrado asesor de la Corte de Apelaciones
  • Gottfried Wilhelm Leibniz

    Gottfried Wilhelm Leibniz

    inició un programa autodidacta que pronto resultó en la realización de grandes contribuciones en ambos campos, incluyendo el descubrimiento de su versión del cálculo diferencial y su trabajo en las series infinitas
  • Isaac Newton

    Isaac Newton

    La primera carta de Newton para Leibniz, contestando a la tercera de éste, es de 13 de junio de 1676 y en ella se demuestra que el matemático inglés había ya encontrado la manera de desarrollar en serie las funciones algebraicas explícitas o implícitas
  • Gottfried Wilhelm Leibniz

    Gottfried Wilhelm Leibniz

    la mayor parte de los historiadores de las matemáticas afirman ahora que Newton y Leibniz desarrollaron sus ideas de forma independiente: Newton desarrolló las ideas primero y Leibniz fue el primero en publicarlas
  • Gottfried Wilhelm Leibniz

    Gottfried Wilhelm Leibniz

    Sus documentos más importantes de matemáticas salieron a luz entre 1682 y 1692, por lo general en una revista que él y Otto Mencke habían fundado en 1682, la Acta Eruditorum
  • Isaac Newton

    Isaac Newton

    aparecieron los Principia , Newton no había comunicado absolutamente nada a Leibniz, mientras que éste le había explicado las bases del Cálculo Diferencial, muy superiores, lo mismo por la forma que por el fondo, a las ideas sobre los momentos contenidas en la obra newtoniana.
    en 1689 fue elegido miembro del Parlamento
  • Isaac Newton

    Isaac Newton

    1. El mismo año envió a John Collins, por medio de Barrow, su Analysis per aequationes número terminorum infinitos. Para Newton, este manuscrito representa la introducción a un potente método general, que desarrollaría más tarde: su cálculo diferencial e integral
  • Isaac Newton

    Isaac Newton

    se le encargó la custodia de la Casa de la Moneda
  • Isaac Newton

    Isaac Newton

    se le nombró presidente de la Royal Society
  • Isaac Newton

    Isaac Newton

    En 1704 publicó Newton su Tratado de la cuadratura de las curvas del que dieron cuenta las Acta Eruditorum en enero de 1705
  • Isaac Newton

    recibió el título de sir de manos de la reina Ana
  • Gottfried Wilhelm Leibniz

    Gottfried Wilhelm Leibniz

    Newton, acusó a Leibniz de haber plagiado el cálculo de Newton, dando inicio de esta manera a la disputa sobre la paternidad del cálculo
  • Gottfried Wilhelm Leibniz

    Leibniz inició una estancia de dos años en Viena, donde se le nombró consejero de la Corte imperial de los Habsburgo
  • Gottfried Wilhelm Leibniz

    Gottfried Wilhelm Leibniz

    Leibniz falleció en Hannover en 1716: para entonces, estaba tan fuera del favor en la Corte que ni Jorge I ni ningún otro cortesano, más que su secretario personal, asistieron al funeral. Aun cuando Leibniz era miembro vitalicio de la Royal Society y de la Academia Prusiana de las Ciencias, ninguna de las dos entidades consideró conveniente honrar su memoria.
  • Isaac Newton

    Padeció durante su vejez diversos problemas renales, incluyendo atroces cólicos nefríticos, sufriendo uno de los cuales murió —tras muchas horas de delirio— la noche del 31 de marzo de 1727
  • Period: to

    Gaspard Monge

    fue un matemático francés, inventor de la geometría descriptiva.
  • Gaspard Monge

    Gaspard Monge

    Estudió en las escuelas de Beaune y Lyon y en la escuela militar de Mézières. A los 16 años fue nombrado profesor de física en Lyon, cargo que ejerció hasta 1765
  • Period: to

    Jean-Baptiste Joseph Fourier

    fue un matemático y físico francés conocido por sus trabajos sobre la descomposición de funciones periódicas en series trigonométricas convergentes llamadas Series de Fourier, método con el cual consiguió resolver la ecuación del calor
  • Gaspard Monge

    Gaspard Monge

    Entró en la Academia Real de Ciencias en 1780 y publicó ocho años más tarde su Traité de statistique.
  • Jean-Baptiste Joseph Fourier

    Jean-Baptiste Joseph Fourier

    Su niñez estuvo marcada por las dificultades económicas de su familia, y la pérdida de seis de sus hermanos, de su madre y de su padre, quedando huérfano a los diez años
  • Jean-Baptiste Joseph Fourier

    Jean-Baptiste Joseph Fourier

    En 1789 participó en la revolución francesa y, gracias a la caída del poder de Robespierre, se salvó de ser guillotinado. Se incorporó a la Escuela Normal Superior de París en donde tuvo entre sus profesores a los matemáticos Joseph Louis Lagrange y Pierre Simon Laplace. Posteriormente, ocupó una cátedra como docente en la prestigiosa École polytechnique
  • Gaspard Monge

    Gaspard Monge

    En 1792 fue nombrado con otras cinco personas miembro del Ejecutivo Provisional del Consejo. Nombrado Ministro de Marina por la Convención, se le pidió reorganizar los arsenales y potenciar las fábricas de cañones durante la revolución francesa
  • Nikolái Ivánovich Lobachevski

    Nikolái Ivánovich Lobachevski

    Lobachevsky nació en Rusia el 1 de diciembre del año 1792
  • Period: to

    Nikolái Ivánovich Lobachevski

    fue un matemático ruso del siglo XIX.Entre sus principales logros se encuentra la demostración de varias conjeturas relacionadas con el cálculo tensorial aplicados a vectores en el espacio de Hilbert.
    Fue uno de los primeros matemáticos que aplicó un tratamiento crítico a los postulados fundamentales de la geometría euclidiana.
  • Gaspard Monge

    Gaspard Monge

    El 6 de febrero de 1798 salió de París hacia Roma, con la orden de entrevistarse con el Papa Pío VI en nombre de la República Francesa, conminándole a renunciar a su autoridad temporal, conservando únicamente su autoridad espiritual
  • Jean-Baptiste Joseph Fourier

    Fourier participó en la expedición de Napoleón Bonaparte a Egipto
  • Gaspard Monge

    Gaspard Monge

    el 23 de agosto de 1799, año en que publicó su famosa obra Geometrie descriptive. Fue nombrado miembro del Senado, director de la Escuela Politécnica (1802) y conde de Pelusio. La caída de Napoleón hace que le excluyan del Instituto y de la escuela Politécnica
  • Period: to

    Niels Henrik

    Henrik fue un matemático noruego, célebre fundamentalmente por haber probado en 1824 que no hay ninguna fórmula para hallar los ceros de todos los polinomios generales de grados en términos de sus coeficientes; y en el de las funciones elípticas, ámbito en el que desarrolló un método general para la construcción de funciones periódicas recíprocas de la integral elíptica
  • Period: to

    Nikolái Ivánovich Lobachevski

    Estudió en el Gimnasium de Kazán desde 1802 hasta 1807
  • Period: to

    William Rowan Hamilton

    fue un matemático, físico, y astrónomo irlandés, que hizo importantes contribuciones al desarrollo de la óptica, la dinámica, y el álgebra. Su descubrimiento del cuaternión junto con el trabajo de Hamilton en dinámica son sus trabajos más conocidos. Este último trabajo fue después decisivo en el desarrollo de la mecánica cuántica, donde un concepto fundamental llamado hamiltoniano lleva su nombre.
  • Nikolái Ivánovich Lobachevski

    Nikolái Ivánovich Lobachevski

    Con 34 años ingresa en la Universidad de Kazán, cursando de 1807 a 1811
  • Period: to

    Évariste Galois

    fue un matemático francés. Mientras aún era un adolescente, fue capaz de determinar la condición necesaria y suficiente para que una ecuación algebraica sea resuelta por radicales. Dio solución a un problema abierto mediante el nuevo concepto de grupo de permutaciones
  • Nikolái Ivánovich Lobachevski

    Nikolái Ivánovich Lobachevski

    Enseñó en dicha Universidad desde 1812, obteniendo el título de catedrático en 1816
  • James Joseph Sylvester

    James Joseph Sylvester

    James Joseph nació en Londres, Inglaterra, hijo del comerciante Abraham Joseph. James adoptó el apellido Sylvester cuando su hermano mayor lo hizo tras emigrar a los Estados Unidos
  • Period: to

    James Joseph Sylvester

    fue un matemático inglés, que desarrolló un período intermedio de su carrera académica en los Estados Unidos. Hizo importantes contribuciones en el campo de las matrices (acuñó los términos matriz, invariante, discriminante y totient, entre otros), así como a la teoría de los invariantes algebraicos ,a los determinantes, a la teoría de números, a las particiones y a la combinatoria
  • Niels Henrik

    Niels Henrik

    estudió en la escuela de la Catedral de Cristianía en donde tres años después probaría sus aptitudes para las matemáticas con sus brillantes soluciones a los problemas originales propuestos por Bernt Holmboe.
  • Period: to

    Karl Theodor Wilhelm Weierstra

    fue un matemático alemán que se suele citar como el «padre del análisis moderno».1 Entre sus logros más destacados figuran la definición de la continuidad de una función, demostrando el teorema del valor medio; y el teorema de Bolzano-Weierstrass usado posteriormente para estudiar las propiedades de funciones continuas en intervalos cerrados.
  • Period: to

    George Boole

    fue un matemático y lógico británico.Como inventor del álgebra de Boole, que marca los fundamentos de la aritmética computacional moderna, Boole es considerado como uno de los fundadores del campo de las ciencias de la computación
  • Jean-Baptiste Joseph Fourier

    Jean-Baptiste Joseph Fourier

    Entró a la Academia de Ciencias Francesa en 1817 y al cabo de cinco años se convirtió en el secretario perpetuo de las secciones de matemáticas y física
  • Gaspard Monge

    Se casó en 1777 con Marie-Catherine Huart (1747-1846), con la que tuvo tres hijas. Murió en París el 28 de julio de 1818 por causas naturales y fue enterrado en el cementerio del Père-Lachaise
  • Niels Henrik

    Niels Henrik

    En esa misma época, su padre, un pastor protestante pobre, murió y su familia sufrió graves penurias económicas; sin embargo, una pequeña beca del Estado permitió que Abel ingresara a la Universidad de Cristianía
  • Period: to

    Arthur Cayley

    fue un matemático británico. Es uno de los fundadores de la escuela británica moderna de matemáticas puras.1Fue el primero que introdujo la multiplicación de las matrices. Es el autor del teorema de Cayley-Hamilton que dice que cualquier matriz cuadrada es solución de su polinomio característico.
  • Niels Henrik

    El primer trabajo relevante de Abel consistió en demostrar la imposibilidad de resolver las ecuaciones de quinto grado usando raíces (véase el Teorema de Abel-Ruffini). Fue esta, en 1824 su primera investigación publicada, aunque la demostración era difícil y abstrusa. Posteriormente se publicó de modo más elaborado en el primer volumen del Diario de Crelle
  • Niels Henrik

    Niels Henrik

    La financiación estatal le permitió visitar Alemania y Francia en 1825. . De Berlín se trasladó a Friburgo en donde llevó a cabo su brillante investigación sobre la teoría de las funciones, en la que estudió sobre todo la elíptica y la hiperelíptica, e introduciendo un nuevo tipo de funciones que hoy se conocen como funciones abelianas, y que fueron objeto de un profundo estudio por su parte.
  • Niels Henrik

    Niels Henrik

    Abel viajó a París, permaneciendo allí unos diez meses; allí conoció a los matemáticos franceses más importantes, aunque ni él ni su trabajo (poco conocido) fueron especialmente valorados. A ello contribuyó también su modestia, que lo llevó a no hacer públicos los resultados de sus investigaciones
  • Nikolái Ivánovich Lobachevski

    Nikolái Ivánovich Lobachevski

    informó, por primera vez, de su nueva geometría no euclidiana el 23 de febrero de 1826, con una conferencia en la sesión de la Sección de ciencias físico-matemáticas que no entiendo de la Universidad de chazán
  • Period: to

    Georg Friedrich Bernhard Riemann

    fue un matemático alemán que realizó contribuciones muy importantes al análisis y la geometría diferencial, algunas de las cuales allanaron el camino para el desarrollo más avanzado de la relatividad general. Su nombre está conectado con la función zeta, la hipótesis de Riemann, la integral de Riemann, el lema de Riemann, las variedades de Riemann, las superficies de Riemann y la geometría de Riemann
  • Nikolái Ivánovich Lobachevski

    Nikolái Ivánovich Lobachevski

    Fue elegido en el año 1827 rector de la Universidad de Kazán
  • Évariste Galois

    Évariste Galois

    Siendo todavía estudiante del Louis-le-Grand, Galois logró publicar su primer trabajo y poco después dio con la clave para resolver un problema (las condiciones de resolución de ecuaciones polinómicas por radicales). Sin embargo, sus avances más notables fueron los relacionados con el desarrollo de una teoría nueva cuyas aplicaciones desbordaban con mucho los límites de las ecuaciones algebraicas: la teoría de grupos en 1828
  • Niels Henrik

    Niels Henrik

    Los problemas económicos, que nunca se separaron de él, llevaron a Abel a interrumpir su viaje para regresar a Noruega. En Cristianía trabajó como profesor durante algún tiempo. A principios de abril de 1829 Crelle le ayudó a obtener un trabajo en Berlín, pero la oferta llegó a Noruega dos días después de su muerte, a causa de una tuberculosis
  • Nikolái Ivánovich Lobachevski

    Nikolái Ivánovich Lobachevski

    La primera exposición escrita de los principios de dicha geometría, fue la memoria de Lobachevski «Sobre los fundamentos de la Geometría», publicada en los años 1829-1830 en la revista Boletín de Kazán
  • Évariste Galois

    Évariste Galois

    los republicanos se levantaron y obligaron a exiliarse al rey Carlos X. No obstante, el triunfo de los republicanos, entre los que se encontraba el joven Galois, fue aplastado por la llegada al trono de un nuevo rey: Luis Felipe de Orleans. Galois participó activamente en las manifestaciones y sociedades republicanas. Fue expulsado por ello de la École normale
  • Jean-Baptiste Joseph Fourier

    Murió en París el 16 de mayo de 1830.
  • Évariste Galois

    Évariste Galois

    con apenas 19 años, Galois fue detenido y encarcelado durante más de un mes, acusado de sedición, tras un desafiante brindis en nombre del rey. Inicialmente fue absuelto, pero volvió a ser arrestado por otra actitud sediciosa en julio, y esta segunda vez pasó ocho meses en prisión.
  • Évariste Galois

    Galois por fin había redondeado las cuestiones pendientes en su trabajo y lo había sometido a la consideración de Poisson, quien le recomendó que lo presentara de nuevo a la Academia. Más tarde, aquel mismo año, el propio Poisson recomendó a la Academia que rechazara su trabajo con la indicación de que «sus argumentaciones no estaban ni lo suficientemente claras ni suficientemente desarrolladas para permitirles juzgar su rigor».
  • James Joseph Sylvester

    en 1831, consiguió el segundo puesto en el famoso examen matemático de Cambridge
  • Évariste Galois

    a primera hora de la mañana, Galois perdió un duelo de pistolas contra el campeón de esgrima del ejército francés, y falleció al día siguiente a las diez de la mañana (probablemente de peritonitis), en el hospital Cochin. Sus últimas palabras a su hermano Alfredo fueron: «¡No llores! Necesito todo mi coraje para morir a los veinte años».
  • William Rowan Hamilton

    William Rowan Hamilton

    En 1833. Publico Hamilton, William Rowan (Astrónomo Real de Irlanda), Conferencia introductoria sobre astronomía. Dublin University Review y Quarterly Magazine vol. I, Trinity College, enero
  • Karl Theodor Wilhelm Weierstra

    Karl Theodor Wilhelm Weierstra

    Después de que estudiase matemáticas en la Academia de Münster y de que su padre le consiguiese un puesto como profesor en una escuela de Münster, fue certificado como profesor en esa ciudad. Durante su periodo de estudio, Weierstrass asistió a las conferencias de Christoph Gudermann y se interesó por las funciones elípticas
  • James Joseph Sylvester

    James Joseph Sylvester

    en 1839 fue elegido miembro de la Royal Society de Londres
  • Georg Friedrich Bernhard Riemann

    Georg Friedrich Bernhard Riemann

    Bernhard fue a Hanóver a vivir con su abuela y a visitar el Lyceum. Después de la muerte de su abuela en 1842 entró al Johanneum Lüneburg. Desde pequeño demostró una fabulosa capacidad para el cálculo
  • George Boole

    George Boole

    Su primer trabajo publicado fue «Investigaciones en la teoría de las transformaciones de análisis, con una aplicación especial a la reducción de la ecuación general de segundo orden», impreso en el The Cambridge Mathematical Journal en febrero de 1840
  • James Joseph Sylvester

    James Joseph Sylvester

    En 1841, se le concedió la graduación y la maestría por el Trinity College (Dublín)
  • George Boole

    George Boole

    En 1841 Boole publicó un influyente artículo sobre la naciente teoría de invariantes.4 Recibió una medalla de la Royal Society por su memoria de 1844 titulada On a General Method of Analysis, una contribución a las ecuaciones diferenciales lineales,
  • William Rowan Hamilton

    William Rowan Hamilton

    En 1842 Teorema de Hamilton de la hodógrafa. Postula que el vector velocidad de un planeta, sometido a la ley de fuerzas de Kepler alrededor del Sol, describe un círculo. Hamilton llamó hodógrafa a la curva descrita por el vector velocidad (del griego hodos, camino).
  • Évariste Galois

    Évariste Galois

    Las contribuciones matemáticas de Galois se publicaron en 1843, cuando Joseph Liouville revisó sus manuscritos. Este declaró que aquel joven, en verdad, había resuelto el problema de Abel por otros medios que suponían una verdadera revolución en la teoría de las matemáticas empleadas. El manuscrito apareció en el número de octubre de 1846 del Journal des mathématiques pures et appliquées.
  • Karl Theodor Wilhelm Weierstra

    Karl Theodor Wilhelm Weierstra

    En 1843 impartió clase en Alemania y en el oeste de Prusia, y desde 1848 enseñó en el Lyceo Hosianum en Braunsberg.
  • William Rowan Hamilton

    William Rowan Hamilton

    un día de 1843 paseaba por el puente de Brongham, que cruza el canal Real de Dublín, cuando de repente comprendió la estructura de los cuaterniones. Acto seguido grabó con la punta de su navaja, sobre una piedra del puente
  • James Joseph Sylvester

    James Joseph Sylvester

    en 1844 en el colegio de abogados, conociendo a un compañero matemático británico que estudiaba derecho, Arthur Cayley, con quien hizo contribuciones significativas a la teoría de invariantes y también a la teoría de matrices durante una larga colaboración
  • Georg Friedrich Bernhard Riemann

    En 1847 su padre reunió el dinero suficiente para que comenzara a estudiar matemáticas.
  • George Boole

    George Boole

    En 1847 Boole publicó The Mathematical Analysis of Logic, el primero de sus trabajos sobre lógica simbólica.
  • Georg Friedrich Bernhard Riemann

    Georg Friedrich Bernhard Riemann

    En 1848 estallaron manifestaciones y movimientos obreros por toda Alemania, Riemann fue reclutado por las milicias de estudiantes, incluso ayudó a proteger al rey en su palacio de Berlín. Permaneció allí por dos años y volvió a Göttingen en 1849.
  • George Boole

    en 1849 como el primer profesor de matemáticas del entonces Queen's College en Cork que sus habilidades matemáticas se realizaron plenamente
  • William Rowan Hamilton

    William Rowan Hamilton

    En 1849 propuso la Ecuación de Hamilton-Jacobi
  • Karl Theodor Wilhelm Weierstra

    Karl Theodor Wilhelm Weierstra

    1850 Weierstrass sufrió un largo periodo de enfermedad, pero pudo publicar documentos que le llevaron a la fama y la distinción.
  • James Joseph Sylvester

    James Joseph Sylvester

    Sylvester ideó un gran número de términos matemáticos como "matriz" (en 1850), "grafo" (combinatoria) y "discriminante" . Acuñó el término "totient" para la Función φ de Euler φ (n).
  • Period: to

    Sonia Vasílievna Kovalévskaya

    fue una matemática y escritora rusa que hizo contribuciones significativas en los campos del análisis, las ecuaciones diferenciales parciales y la mecánica. Los años de su adolescencia fueron años de rebelión, la época de las grandes revoluciones y manifestaciones del siglo XIX en las que el socialismo feminista iba perdiendo terreno
  • Arthur Cayley

    Arthur Cayley

    En 1851 Dio la primera definición moderna de la noción de grupo.
  • Arthur Cayley

    Arthur Cayley

    Miembro de la Royal Society (1852)
  • William Rowan Hamilton

    William Rowan Hamilton

    En 1852 propuso el Teorema de Cayley-Hamilton
  • William Rowan Hamilton

    William Rowan Hamilton

    En 1853. Publco Hamilton, William Rowan, conferencias sobre cuaterniones. Real Academia Irlandesa
  • Karl Theodor Wilhelm Weierstra

    Karl Theodor Wilhelm Weierstra

    La Universidad de Königsberg le entregó un título de doctor honorario el 31 de marzo de 1854.
  • Georg Friedrich Bernhard Riemann

    Georg Friedrich Bernhard Riemann

    Riemann dio sus primeras conferencias en 1854, en las cuales fundó el campo de la geometría de Riemann.
  • William Rowan Hamilton

    William Rowan Hamilton

    En 1854 propuso el Camino hamiltoniano
  • James Joseph Sylvester

    James Joseph Sylvester

    cuando fue nombrado profesor de matemáticas en la Real Academia Militar de Woolwich, de donde se retiró en 1869,
  • George Boole

    George Boole

    En 1855, se casó con Mary Everest, sobrina de George Everest, que más tarde, como la señora de Boole, escribió varios trabajos educativos útiles en los inicios de su marido
  • George Boole

    George Boole

    Boole fue galardonado con la Medalla Keith de la Real Sociedad de Edimburgo en 1855
  • Karl Theodor Wilhelm Weierstra

    En 1856 consiguió una plaza en el Gewerbeinstitut, la que más tarde se convertiría en la Universidad Técnica de Berlín
  • Arthur Cayley

    Arthur Cayley

    En combinatoria, su nombre está unido a la fórmula n”(n-2) que cuenta los posibles árboles generadores con nodos etiquetados de orden n.
  • Nikolái Ivánovich Lobachevski

    Murió en Kazán en 1856
  • Georg Friedrich Bernhard Riemann

    Georg Friedrich Bernhard Riemann

    Lo ascendieron a profesor extraordinario en la universidad de Göttingen en 1857 y se hizo profesor ordinario en 1859
  • George Boole

    George Boole

    En 1857, Boole publicó su tratado de Comparación de transcendentes, con ciertas aplicaciones a la teoría de integrales definidas, donde estudiaba la suma de residuos de una función racional. Entre otros resultados, probó la conocida como identidad de Boole
  • George Boole

    Fue elegido miembro de la Royal Society en 1857
  • Arthur Cayley

    Medalla Real (1859)
  • George Boole

    George Boole

    en 1859 Boole fue uno de los primeros y más eminentes matemáticos que percibieron que los símbolos de las operaciones podían ser separados de las cantidades sobre las que operan, y ser tratados como objetos distintos del propio cálculo.
  • Georg Friedrich Bernhard Riemann

    Georg Friedrich Bernhard Riemann

    En 1862 se casó con Elise Koch. Murió de tuberculosis en su tercer viaje a Italia en Selasca
  • Sonia Vasílievna Kovalévskaya

    Sonia Vasílievna Kovalévskaya

    A los trece años empezó a mostrar muy buenas cualidades para el álgebra
    Sofia explicó y analizó por sí misma lo que era el concepto trigonométrico de seno, tal y como se desarrolló originalmente
  • Karl Theodor Wilhelm Weierstra

    Karl Theodor Wilhelm Weierstra

    En 1864 pasó a ser profesor de la Universidad Friedrich-Wilhelms en Berlín, institución que más tarde se transformó en la Universidad Humboldt de Berlín. Los últimos 3 años de su vida los pasó sin poder moverse, y terminó muriendo en Berlín de neumonia.
  • George Boole

    El 8 de diciembre de 1864, en pleno vigor de sus facultades intelectuales, murió de un ataque de fiebre, que terminó en un derrame pleural
  • Sonia Vasílievna Kovalévskaya

    Sonia Vasílievna Kovalévskaya

    en noviembre de 1872 logro decifrar : La primera era sobre ecuaciones con derivadas parciales, en la que consiguió corregir y mejorar un resultado de La segunda era un estudio sobre las integrales abelianas.
  • James Joseph Sylvester

    En 1872, finalmente recibió su graduación y su maestría por Cambridge, que le habían sido negados por su condición de practicante de la religión judía
  • Sonia Vasílievna Kovalévskaya

    Sonia Vasílievna Kovalévskaya

    Recibió el título de doctorado en la Universidad de Gotinga en 1874, siendo la primera mujer en obtener este título no solo en Alemania, sino en el mundo
  • Arthur Cayley

    Arthur Cayley

    En 1875 Se llama a veces octavas de Cayley o números de Cayley a los octoniones
  • James Joseph Sylvester

    James Joseph Sylvester

    En 1878 fundó el American Journal of Mathematics. El único otro diario matemático en los EE.UU. en aquel momento era el Analist, que finalmente se convirtió en el Annals of Mathematics.
  • Arthur Cayley

    Arthur Cayley

    Medalla Copley (1882)
  • James Joseph Sylvester

    James Joseph Sylvester

    En 1883 volvió a Inglaterra para tomar posesión del puesto de Profesor Saviliano de geometría en la Universidad de Oxford. Hasta su muerte
  • Sonia Vasílievna Kovalévskaya

    Sonia Vasílievna Kovalévskaya

    Sofía pudo trabajar a prueba durante un año en la Universidad de Estocolmo en 1884 como Privatdozent. La decisión no gustó nada a los machistas
  • Arthur Cayley

    Arthur Cayley

    Medalla De Morgan (1884)
  • Sonia Vasílievna Kovalévskaya

    Sonia Vasílievna Kovalévskaya

    obtuvo el premio Bordin de la Academia de ciencias de París 1888
    Entre sus trabajos, figuran "Sobre la teoría de las ecuaciones diferenciales", que apareció en el Journal de Crelle, y "Sobre la rotación de un cuerpo sólido alrededor de un punto fijo".
  • Arthur Cayley

    Arthur Cayley

    Cambridge University Press le pidió que preparara sus artículos matemáticos en forma de colección. Siete volúmenes aparecieron con Cayley como editor
  • Arthur Cayley

    Arthur Cayley

    En 1898, el resto de artículos fue editado por Andrew Forsyth, su sucesor en la cátedra de Cambridge. En total los "Collected Mathematical Papers" comprenden trece grandes volúmenes que contienen 967 artículos.

Looking for a timeline maker?

Create timelines for projects, roadmaps, history, lessons, legal cases, and stories with Timetoast. Timetoast is a timeline maker for work, school, research, and stories.