La matemática a través de los años

  • Origen del lenguaje numérico
    4000 BCE

    Origen del lenguaje numérico

    En Mesopotamia, los sumerios desarrollaron uno de los primeros sistemas numéricos, compuestos por 60 símbolos.
  • Period: 3100 BCE to 2700 BCE

    Numeración decimal

    Primeros sistemas de numeración decimal en Egipto
    Primeros sistemas de división decimal para pesos y medidas en el valle del Indo
    Agrimensura de precisión en Egipto
  • Primeras fracciones
    2000 BCE

    Primeras fracciones

    Primeras sumas de fracciones egipcias "el papiro de Rhind"
  • Función de los números
    520 BCE

    Función de los números

    El matemático griego Eudoxo de Cnido define y explica los números irracionales.
  • Comienzo de la geometría
    300 BCE

    Comienzo de la geometría

    Euclides desarrolla teoremas y sintetiza diversos conocimientos sobre geometría. Es el comienzo de la geometría euclidiana.
  • Nacimiento del algebra
    250

    Nacimiento del algebra

    Diofanto estudia y desarrolla varios conceptos de álgebra.
    Diofanto de Alejandría era un matemático de la antigua Grecia y muchos lo consideran el padre del álgebra moderna.
    Se llama "ecuación diofántica" o "ecuaciones diofantinas" a cualquier ecuación algebraica, de dos o más incógnitas, cuyos coeficientes recorren el conjunto de los números enteros, de las que se buscan soluciones enteras, esto es, que pertenezcan al conjunto de los números enteros.
  • Surge el número 0
    500

    Surge el número 0

    Surge en la India un símbolo para especificar el número cero. Fue el matemático italiano Fibonacci quien popularizó en Occidente el sistema decimal nacido en la India y quien comenzó a usar la palabra zero para designar el símbolo de la nada.
  • Trigonometría
    1551

    Trigonometría

    Aparece el estudio de la trigonometría, facilitando en el renacimiento científico el estudio de las estrellas.
  • Ecuaciones con letras

    Ecuaciones con letras

    Franciscus Vieta inicia representación de ecuaciones matemáticas, usando letras del alfabeto.
  • Primera tabla con algoritmos

    Primera tabla con algoritmos

    El escocés John Napier publica la primera tabla de algoritmos.
  • Geometría analítica

    Geometría analítica

    El matemático y filósofo franceses René Descartes desarrolla una nueva disciplina matemática: la geometría analítica, con la combinación de álgebra y geometría.
  • Calculo de la probabilidad

    Calculo de la probabilidad

    Los matemáticos franceses Pierre de Fermat y Blaise Pascal desarrollan estudios sobre el cálculo de la probabilidad.
  • Calculo infinitesimal

    Calculo infinitesimal

    El físico inglés y matemático Sir Isaac Newton desarrolla el cálculo diferencial e integral.
  • Period: to

    Leibniz y el cálculo

    Leibniz desarrolla su versión de cálculo infinitesimal
    Leibniz descubre una técnica para separar las variables en ecuaciones diferenciales
  • El inglés John Wallis crea números imaginarios

    El inglés John Wallis crea números imaginarios

  • Teorema de divergencia de Lagrange

    Teorema de divergencia de Lagrange

  • Números tracendentales

    Números tracendentales

    El suizo Leonard Euler desarrolla estudios sobre los números transcendentales.
  • Thomas Bayes desarrolla el teorema de Bayes

    Thomas Bayes desarrolla el teorema de Bayes

  • Gauss prueba el teorema fundamental del álgebra

    Gauss prueba el teorema fundamental del álgebra

  • Fourier descubre cómo descomponer funciones periódicas en series trigonométricas convergentes

    Fourier descubre cómo descomponer funciones periódicas en series trigonométricas convergentes

  • Bolzano introduce el teorema del valor intermedio

    Bolzano introduce el teorema del valor intermedio

  • Geometría proyectiva

    Geometría proyectiva

    Creación de la Geometría proyectiva es desarrollada por el francés Jean Victor Poncelet.
  • Geometría noeuclidiana.

    Geometría noeuclidiana.

    El matemático ruso Nicolai Ivanovich Lobachevsky desarrolló la geometría noeuclidiana.
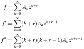
  • Frobenius desarrolla un método para resolver ecuaciones lineales con puntos singulares regulares

    Frobenius desarrolla un método para resolver ecuaciones lineales con puntos singulares regulares

  • π es trascendental

    Lindemann demuestra que π es trascendental por lo que el círculo no puede ser cuadrado con regla y compás
  • Teoría del caos

    Teoría del caos

    El matemático americano Robert Shaw Stetson hace estudios y desarrolla el conocimiento acerca de la teoría del caos.
  • Teorema de Fermat.

    Teorema de Fermat.

    El matemático inglés Andrew Wiles demuestra a través de estudios e investigaciones el último teorema de Fermat.
  • Grigori Perelman prueba la conjetura de Poincaré

    Grigori Perelman prueba la conjetura de Poincaré

  • Harald Helfgott prueba la conjetura débil de Golbach

    Harald Helfgott prueba la conjetura débil de Golbach

Looking for a timeline maker?

Create timelines for projects, roadmaps, history, lessons, legal cases, and stories with Timetoast. Timetoast is a timeline maker for work, school, research, and stories.