Matematicas  644x362

La historia de las matematicas

  • origen de las matematicas
    100

    origen de las matematicas

    Las matemáticas surgen por la necesidad de encontrar sentido a los patrones naturales
  • arquimides
    212

    arquimides

    matematica pura: producir formulas para calcular areas
    en buca de pi
  • notacion pocisional decimal
    300

    notacion pocisional decimal

    notacion pocisional decimal
  • euclides
    300

    euclides

    los elementos y las matematicas: asiomas y las deduciones logicas
  • los griegos y pitagoras
    330

    los griegos y pitagoras

    fue un filósofo y matemático griego considerado el primer matemático puro.
  • elo cero
    Feb 4, 700

    elo cero

    Primer registro del nuemro cero (0) ( Brahmagupta)
  • pi
    Feb 1, 1500

    pi

    Formula exacta de π (pi)
  • Oct 11, 1500

    escuelas de matematicas

    Escuela de Matematicas Kerela ( Madhava)
  • ecuaciones cuanticas

    ecuaciones cuanticas

    Ecuaciones cuanticas de tercer grado ( Lodovico Ferrari)
  • ecuciones cubicas

    ecuciones cubicas

    Sistema para resolver todas las ecuaciones cubicas (Niccoló Fontana Tartaglia)
  • tabla logoratmica

    tabla logoratmica

    el escoses jhon napler publica la primera de algoritmos
  • plano cartesiano

    plano cartesiano

    plano cartesiano, funcion delalgebra y geometria
  • papiro rain

    papiro rain

    1650 a. C. Fue creado el papiro Rain por un escribano llamado ahmes, el cual utilizaban para realizar multiplicaciones.
  • matafisica

    matafisica

    Mediciones Metafisicas (Rene Descartes)
  • calculo

    calculo

    1700.1800 dc leibniz aporto al calculo y al campo de la logica
  • imperio islamico

    imperio islamico

    Casa de la Sabiduría (Imperio Islámico)
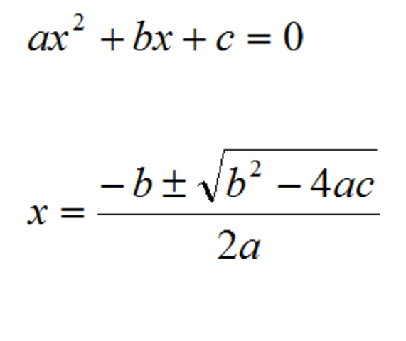
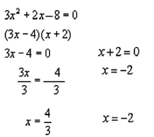
  • ecuasiones de segundo grado

    ecuasiones de segundo grado

    Ecuaciones de segundo grado con nuemeros elevados a la potencia de dos ( Mohamed Al-kwarizmi)
  • isaac newton

    isaac newton

    isaac newton (reducir un problema a una expresion algebraica)
  • leonhard euler

    numeros tracendentales
  • papiro de moscu

    papiro de moscu

    1890 a. C. Papiro de moscu consta de 25 problemas
  • teorema de pitagoras

    teorema de pitagoras

    Teorema de pitagoras utilizaban una cuerda con nudos
    1800 a. C. Mesopotamia
  • sistema babilonico

    sistema babilonico

    Sistema babilonico crearon el numero cero, ecuaciones al cuadrado
  • elver

    elver

    Dc elver contribuyo a la teoria de numeros y algebra
  • teorema fundamental

    teorema fundamental

    Dc gauss teorema fundamental del algebra
  • algebra arimetica y simbolica

    algebra arimetica y simbolica

    Dc george peaacuk distincion entre algebra arimetia y algebra simbolica
  • academias

    academias

    fundada por plato; las matematicas la base del conocimiento
  • numeros irracionales

    numeros irracionales

    descripto por los babilonios en la tablilla yein
  • ecuasiones elevadas

    ecuasiones elevadas

    Ecuaciones elevadas con números a la potencia de dos ( Brahmagupta)
  • escuelas escribas

    escuelas escribas

    2500 a. C. Escuelas de escribas
  • incio de las matematicas

    incio de las matematicas

    6000 a. C. En el río Nilo primeros signos de las matemáticas, los egipcios utilizaban partes de su cuerpo para medir.