Kalle's History of the Internet Timeline

By kwhite3
  • Advanced Research Projects Agency (ARPA)

    Advanced Research Projects Agency (ARPA)

    Found a way that computers can talk to each other in case of nuclear attack.
  • American Airlines

    American Airlines

    American Airlines On-line transaction processing debuts with IBM’s SABRE air travel reservation system for American Airlines.
  • Larry Roberts and Thomas Marill create the first wide-area network connection.

    Larry Roberts and Thomas Marill create the first wide-area network connection.

    <a href='http://www.computerhistory.org/internet_history/' >Larry Roberts and Thomas Marill create the first wide-area network connection. They connect the TX-2 at MIT to the Q-32 in Santa Monica via a dedicated telephone line with acoustic couplers.
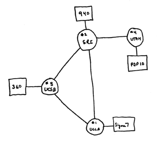
  • Computers at Stanford and UCLA connected for the first time.

    Computers at Stanford and UCLA connected for the first time.

    The first hosts on what would one day become the Internet.
  • An Arpanet network was established

    An Arpanet network was established

    Network between Harvard, MIT, and BBN (the compant that created the "interface messagte processor" computers used to connect to the network) in 1970 was created.
  • arpanet Nodes

    arpanet Nodes

    nodesNodes are added to the ARPANET at the rate of one per month.
  • Email was first developed

    Email was first developed

    Developed by Ray Tomlinson, who also made the decision to use the "@" symbol to separate the user name from the computer name (which later on became the domain name)
  • The ARPANET grows by ten more nodes

    The ARPANET grows by ten more nodes

    The ARPANET grows by ten more nodes in the first 10 months of 1972. The year is spent finishing, testing and releasing all the network protocols, and developing network demonstrations for the ICCC.
  • The beginning of TCP/IP

    The beginning of TCP/IP

    A proposal was published to link Arpa-like networks together into a so-called "inter-network", which would have no central control and would work around a transmission control protocol (which eventually became TCP/IP).
  • Gov't Leaders

    Gov't Leaders

    Leaders Presidential candidate Jimmy Carter and running mate Walter Mondale use email to plan campaign events.
    Queen Elizabeth sends her first email. She's the first state leader to do so.
  • The first personal computer modem is invented

    The first personal computer modem is invented

    The modem was invented by Dennis Hayes and Dale Heatherington, and was introduced and initially sold to computer hobbyists.
  • Apple computers

    Apple computers

    apple computersSteve Wozniak and Steve Jobs announce the Apple II computer.
  • Spam is born

    Spam is born

    The first unsolicited commercial email message (later known as spam), was sent out to 600 California Arpanet users by Gary Thuerk.
  • MUD- The earliest form of multiplayer games was debuted.

    MUD- The earliest form of multiplayer games was debuted.

    the precursor to World of Warcraft and Second Life was developed in 1979, and was called MUD (short for MultiUser Dungeon). MUDs were entirely text-based virtual worlds, combining elements of role-playing games, interactive, fiction, and online chat.
  • "Internet"

    "Internet"

    Internet The word "internet" is used for the first time.
  • The first emoticon :-)

    The first emoticon :-)

    The first emoticon was used while many people credit Kevin MacKenzie with the invention of the emoticon in 1979, it was Scott Fahlman in 1982 who proposed using :-) after a joke, rather than the originial -) proposed by MacKenzie.
  • The domain name system was created

    The domain name system was created

    The first Domain Name Servers (DNS) was created. The domain name system was ipmortant in that it made addresses on the internet more human-friendly compared to its numerical IP address counterparts. DNS servers allowed internet users to type in an easy-to-remember domain name and then converted it to the IP address automatically.
  • World wide web protocols finished

    World wide web protocols finished

    The code for the World Wide Web was written by Tim Berners-Lee, based on his proposal from the year before, along with the standards for HTML, HTTP, and URLs.
  • First web page created

    First web page created

    first web pageBrought some major innovations to the world of the Internet. The first web page was created and, much like the first email explained what email was, its purpose was to explain what the World Wide Web was.
  • Accomplishments by this date

    Accomplishments by this date

    accomplishments By 1992, the internet had 1 million hosts, the ARPANET has ceased to exist, computers are nine orders of magnitude faster, and network bandwidth is twenty million times greater.
  • The white house website

    The white house website

    White house web pageThe White House launches its first website, www.whitehouse.gov.
  • Google

    Google

    GoogleGoogle opens it's first office, in California.