Isaac Newton

  • Louis XVI

    Louis XVI

    Louis XVI succeeded Louis XIII to become the king of France. This was very important because Louis XVI was later known as the most known King of France.
  • Date of Birth

    Date of Birth

    Isaac Newton was born on January 4th, 1643. He was born in Lincolnshire, England. When Newton was vorn, he was so small and skinny that he was not expected to survive.
  • English Civil War

    English Civil War

    This was the time period when the major English Civil war battles were going on.
  • Care of his Grandmother

    Care of his Grandmother

    After Newtons mother decided to get remarried, he was left behind to be taken care of by his grandmother. There he was raised most of his childhood.
  • New Amsterdam

    New Amsterdam

    In 1653 the region of New Amsterdam was incorperated. This was now one of the biggest growing cities.
  • Entered Public School

    Entered Public School

    At the age of 12 Isaac Newton first entered public schools for the first time of his life. By this time he was back living with his mother and her husband.
  • Promising Farmer

    Promising Farmer

    When Newton was almost 16, his family thought he looked like a promising farmer. Isaac wanted to study mathematics and many different sciences and did not like working in the field.
  • Trinity College

    Trinity College

    After trying to work as a farmer and not interested, Newton's mother suggested that he is sent off to Trinity College in Cambridge to study law.
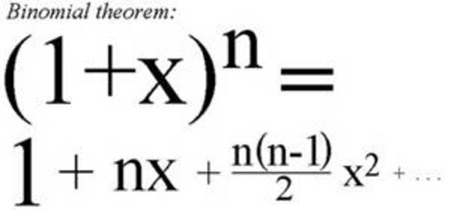
  • Binomial Theroem

    Binomial Theroem

    He created the binomial theroem in mathematics when he was just 22 years old! He also earned his B.A. degree in 1665.
  • British Royal Academy of Science

    British Royal Academy of Science

    The Royal Academy asked Newton to demonstrate his reflecting telescope invention to them in 1671.
  • Versailles

    Versailles

    Louis XVI of France moved to the palace of Versailles in 1682. This was one of the biggest places in Paris and covered over 700,000 square feet.
  • Laws of Motion

    Laws of Motion

    In 1687, Newton published his book called "Philosophiae Naturalis Principia Mathematica". In this work he introduced his 3 laws of motion. The name of the book translates to "Mathematical Principles of Natural Philosophy".
  • Priests Law

    Priests Law

    In June of 1700, Massachusetts passed a law ordering all Roman Catholic Priests to leave the colony within 3 months. New york later passed a similar law.
  • Slaves

    Slaves

    In 1716 the first bgroup of black slaves were brought into Louisiana Territory and this was important because it is a major point in American History.
  • Problems

    Problems

    Newton began having major digestion issues and then blacked out, never to regain consiousness.
  • Date of death

    Date of death

    Isaac Newton died on March 31st in 1727 after experiencing major digestion problems and losing consioucness. He was living with his niece at this time.

Plan projects on a visual timeline

Map milestones, phases, deadlines, and key events in one place so the sequence is easier to see and share. Timetoast is a timeline maker for work, school, research, and stories.