India Timeline

  • The Gupta Empire
    320

    The Gupta Empire

    The Gupta Empire was part of the "Golden Age of India". It united the Northen and Central parts of India. This part in time was a comeback for religions, mostly Hindu, and also an intellectual comeback. Science, math, astrology, and literature were brought to life which brought India into the Classical Period when India was one of the richest and most advanced countries in the world.
  • Number System
    400

    Number System

    Around the beginning of the 5th century, the Indians created an advanced number system. Even though there were many groups to do this before, the largest number that was used was 63, while the Indians used number as big as 10 to the 53 power. Even though we don't use this exact number system, we use one based on everything the Indians thought of.
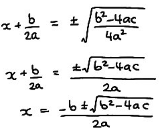
  • Quadratic Equations
    Jan 1, 1000

    Quadratic Equations

    Quadratic equations were created by Sridharacharya in the 11th century. We use these same techniques for solving these equations still today like in algebra, trigonometry and calculus.
  • Classical Age
    Jan 1, 1279

    Classical Age

    This "Classical Age" started off with the Gupta Empire in about 320 AD and fell during the Vijayanagara Empire in 1279 AD. It fell due to the invasions from the north. But during this time, India controlled about 1/3 of the world's wealth.This is when India became more economically stable and made it’s “mark” in the world.
  • Mughal Empire
    Jan 1, 1526

    Mughal Empire

    The Mughal Empire was between the years of 1526 to 1858. The major contribution of the Mughals to India was their architecture. The Taj Mahal was built by the Mughal emperor Shah Jahan and completed in 1653. India's famous architecture would have never been created if it wasn't for the Muhal Empire.
  • End of the Maratha War of Independence

    End of the Maratha War of Independence

    The Maratha War of Independence, also called the 27 Year War, was the longest war ever fought on India territory. It began in the year 1681. It was fought between the Marathas and the Mughals, the Marathas were victorias over the Mughals. The war was started when the Maratha Empire spread across much of India, therefore, preventing the expansion of the Mughal Empire. This win prevented the expansion of India and the improvement it needed to be economically strong once again.
  • Independence from British Rule

    Independence from British Rule

    On this day, India gained independence from the British. When the British took over, India's economy rapidly got worse and they went from being one of the richest countries in the world to the bottom. Now that India is free, their economy is steadily getting better and more people are moving from the lower class to the middle class.
  • Death of Mohandas Gandhi

    Death of Mohandas Gandhi

    Mohandas Gandhi was a leader of a non-violent movement to free India from British rule. He would often do hunger strikes to make his point. But when going on a platform to give a speech, one of his followers shot and killed him. One year later, India gained independence from the British due to the hard work of Gandhi and his followers.
  • Improved Government

    Improved Government

    During the early 90's, the Indian government started to turn away from socialism. They also loosened their regulations and opened up to foreign investments. This allowed India’s economy to soar because it helped more people go from lower class to middle class. Since then, the ranks of the middle class have doubled. This is what brought India from the darker part of their history due to the British rule.
  • First Nuclear Testing

    First Nuclear Testing

    This was the first nuclear testing for India. This was called Operation Shatki and was authorized by Prime Minister Vajpayee. This series of tests and nuclear expolsions were followed by many more tests. This was also when India was included in one of eight countries to have nuclear powers, which would make them very dangerous during wars or terrorism.
  • Trading Between the Romans and Indians

    Trading Between the Romans and Indians

    In about 1 AD, trade started becoming more and more popular amoung the Romans and Indians. Though they had been trading for years before this, it hadn't been very successful. During this trading, culture and architecture had been "traded", too. The Indian's architecture started being used in Europe while Roman culture started being used in Asia. This was also the beginning of the trading route between Europe and Asia called the Silk Road.