I trent'anni che sconvolsero la fisica

  • Pubblicazione "Trattato su elettricità e magnetismo" (Maxwell)

    Pubblicazione "Trattato su elettricità e magnetismo" (Maxwell)

    Con il trattato di Maxwell campo elettrico e campo magnetico diventano due aspetti diversi di un unico ente, il campo elettromagnetico, e l'ottica diventa un capitolo dell'elettromagnetismo. Le onde elettromagnetiche si propagano dunque nel vuoto a velocità c e la loro propagazione è possibile grazie all' esistenza dell'etere, un mezzo impalpabile e evanescente che permea tutto l'universo
  • Period: to

    Esperimento di Michelson e Morley

  • rivelazione onde elettromagnetiche

    rivelazione onde elettromagnetiche

    Hertz rileva casualmente l'esistenza delle onde elettromagnetiche
  • Esperimento di Michelson  e Morley

    Esperimento di Michelson e Morley

    Dal 1881 al 1887 viene ripetuto un esperimento che, grazie all'utilizzo di un interferometro, doveva rivelare il cosiddetto "vento d'etere". Il fallimento dell' esperimento mostra che la teoria dell'etere non è adeguata a descrivere la propagazione delle onde elettromagnetiche
  • Ipotesi di Planck

    Ipotesi di Planck

    Lo spettro della radiazione emessa da un corpo nero non trova spiegazione nella fisica classica.
    Ipotesi d Planck: quantizzazione dello scambio di energia tra materia e radiazione
  • Esperimento di Lenard

    Esperimento di Lenard

    Lenard osserva e l' effetto fotoelettrico e lo descrive
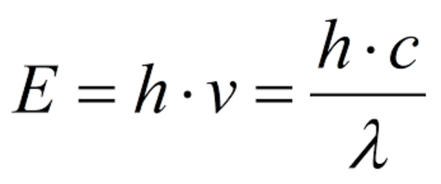
  • Teoria del fotone

    Teoria del fotone

    Einstein interpreta l' effetto fotoelettrico quantizzando l' energia trasportata da un'onda elettromagnetica
  • Relatività ristretta

    Relatività ristretta

    1) le leggi della fisica hanno la stessa forma in tutti i sistemi di riferimento inerziali
    2) La luce ha la stessa velocità in tutti i sistemi di riferimento inerziali, indipendentemente dal moto della sorgente e dell' osservatore.

Want to make a timeline like this?

Use Timetoast to turn dates, events, milestones, and phases into a clear visual timeline you can build and share. Timetoast is a timeline maker for work, school, research, and stories.